学历类
|
阳光高考
研 究 生
自学考试
成人高考
专 升 本
中考
会考
外语类|
四 六 级
职称英语
商务英语
公共英语
日语能力
资格类
|
公 务 员
报 关 员
银行从业
司法考试
导 游 证
教师资格
财会类|
会 计 证
经 济 师
会计职称
注册会计
税 务 师
工程类
|
一级建造
二级建造
造 价 师
造 价 员
咨 询 师
监 理 师
医学类|
卫生资格
执业医师
执业药师
执业护士
国际护士
计算机
|
等级考试
软件水平
应用能力
其它类
|
书画等级
美国高考
驾 驶 员
书法等级
少儿英语
报 检 员
单 证 员
出国留学
招生考试网
-
高考
-
全国高考
-
云南高考
- 正文
高考首页
福建高考
福建省质检
各省高考
历年资料
高考志愿
录取分数线
招生计划
高校招生
录取查询
招生章程
成绩查询
招生简章
高校专业
高考试题
高考作文
高考政策
高考辅导
招生专业
高考大纲
心理减压
高考状元
高招诈骗
高考工具
高中新课程
艺术高考
高校频道
历年分数线查询
全国高考
北京高考
上海高考
广东高考
山东高考
江苏高考
浙江高考
湖北高考
四川高考
天津高考
陕西高考
湖南高考
福建高考
重庆高考
安徽高考
辽宁高考
江西高考
海南高考
宁夏高考
吉林高考
山西高考
广西高考
云南高考
新疆高考
黑龙江高考
青海高考
甘肃高考
西藏高考
河北高考
贵州高考
河南高考
内蒙古高考
香港
澳门
上海春季高考
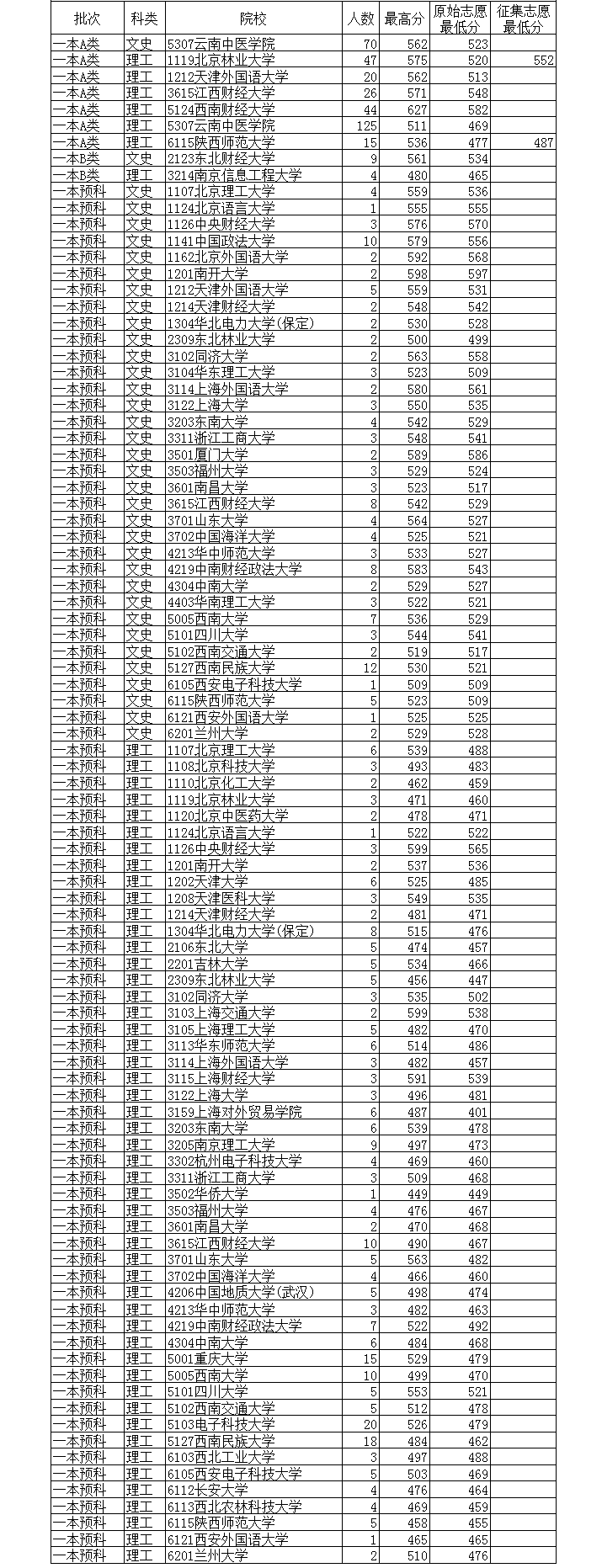
2012年7月19日云南高考普高录取日报
来源:云南省招生考试院
2012-7-20 9:46:40
2012年7月19日云南
高考
普高录取日报
2012云南高考录取日报一本预科录取最高分逼近600
2012云南高考一本A类录取22016人计划完成率106.5%
2012云南高考一本A类完成录取计划的106.5%
2012年7月18日云南高考一本A类批次录取分数线
2012年7月18日云南高考录取分数线日报
2012年7月17日云南省一本A类批次录取分数线公布
2012年7月17日云南高考普高录取分数线日报
2012年起云南五年制高职院校最高6200元/学年
2012年7月16日云南高考录取分数线情况日报
2012云南高考专项本科批次一本A类院校征集志愿
云南2012年高考两个理科状元分别进入清华北大
2012年云南省普通高校招生录取结果查询系统
2012年云南省高考本科提前批录取分数线公布
2012年云南高考专项本科批次第一批本科A类院校征集志愿招生计划
2012年云南高考专项本科批次一批本科A类征集志愿
分享到:
QQ空间
新浪微博
腾讯微博
人人网
上一个文章:
2012云南高考录取日报一本预科录取最高分逼近600
下一个文章: 没有了
网站版权与免责声明
①由于各方面情况的不断调整与变化,本网所提供的相关信息请以权威部门公布的正式信息为准.
②本网转载的文/图等稿件出于非商业性目的,如转载稿涉及版权等问题,请在两周内来电联系.
热门文章
热门专题
·
高考零分作文
·
中考录取查询
·
高考查分网
·
中考分数线
·
中考试题答案网
·
中考作文网
·
中考查分网
·
港澳台联招
·
公安警察院校招生
·
免费师范生
·
高考网上填报志愿
·
军校招生网_国防生招生_军校名单
更多专题
推荐文章
·
2012云南高考成绩查询入口
·
云南省2012年高考录取最低控制分数线
·
云南2012高考报名入口
·
云南省2012年将实施新课改高考方案满分
·
2011年云南高考成绩查询查分方式
·
云南2011年高考成绩23日晚可查
·
2010年8月12日云南高考一专A类录取日报
·
2010年8月10日云南高考一专录取分数线
·
2010年8月9日云南高考一专A录取分数日
·
2010年8月6日云南高考录取分数日报
·
2010年云南高考三本征集志愿时间成绩要
·
2010年7月22日云南高考二本A类录取日报
·
云南2010年高考总分分数段(含加分)统计
·
2010年云南省高考成绩查询开始!
·
2010年云南省高考录取分数线公布
|
关于我们
|
联系我们
|
版权申明
|
网站导航
|
最近更新
|
闽ICP备06019773号