首页
高考
美术高考
音乐高考
体育高考
成人高考
考研
自考
中考
会考
专升本
高校
资讯
更多
自主招生保送生
|
艺术特长生
|
高水平运动员
|
空乘民航招飞
|
军校国防生
|
空军招飞
|
高考作文
|
大学排行榜
|
港澳高考
招生考试网
-
2010年艺考
-
成绩查询
- 正文
湖南大学2010年艺术类音乐专业招生考试合格名单
来源:
湖南大学
2010-3-20 【字体:小 大】
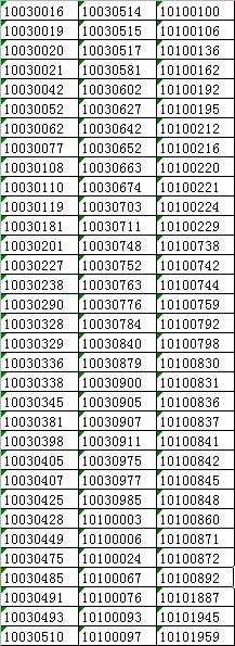
2010年艺术类(音乐类)专业招生考试合格名单
经考核,我校2010年艺术类(音乐类)招生考试合格名单如下:
广播电视编导专业
播音与主持艺术专业
表演专业
■
看了这篇文章的网友还关注以下文章
【
发表评论
】【
加入收藏
】【
告诉好友
】【
打印此文
】【
关闭窗口
】
2010年湖南大学艺术特长生优秀名单
湖南大学2010年美术专业考试成绩查询
湖南大学2010年艺术特长生高水平运动招生拉开大幕
2010年湖南大学艺术类招生简章发布
湖南大学广播影视艺术学院
2010年湖南大学音乐专业艺术校考成绩查询
湖南大学2010年音乐类专业招生简章
2010年湖南大学美术校考报名与考试地点时间
2010年湖南大学美术校考成绩查询
湖南大学2010年美术专业招生简章
2010年湖南大学高水平运动员招生简章
上一篇文章:
湖南大学2010年美术专业考试成绩查询
下一篇文章:
东北电力大学2010年艺术专业校考成绩查询
网站版权与免责声明
①由于各方面情况的不断调整与变化,本网所提供的相关信息请以权威部门公布的正式信息为准.
②本网转载的文/图等稿件出于非商业性目的,如转载稿涉及版权等问题,请在两周内来电联系.
最新文章
·
2010年陕西省艺术类专业课成绩查询
·
2010年内蒙古音乐美术类校考成绩查询
·
石家庄铁道学院2010年艺术类美术成绩查
·
西北民族大学2010年艺术类专业成绩及合
·
荆楚理工学院2010年艺术类考试成绩查询
·
三峡大学2010年艺术类考试成绩查询
·
太原师范学院2010年艺术类成绩查询
·
湖北美术学院2010年艺术类专业成绩查询
·
西安交通大学2010年艺术设计(书法方向
·
西安交通大学2010年艺术设计合格考生名
·
上海师范大学2010年艺术类校考专业合格
·
上海师范大学2010年艺术类成绩查询
·
湖州师范学院2010年艺术类成绩查询
·
安康学院2010年艺术类考试成绩查询
·
2010年新疆艺术学院成绩查询
·
包头师范学院2010年艺术类专业成绩查询
·
四川理工学院2010年艺术类专业考试成绩
·
西南交通大学2010年艺术类专业成绩查询
推荐文章
·
2010年陕西省艺术类专业课成绩查询
·
2010年内蒙古音乐美术类校考成绩查询
·
湖北美术学院2010年艺术类专业成绩查询
·
2010年新疆艺术学院成绩查询
·
2010年西安美术学院专业考试成绩查询查
·
四川音乐学院2010年艺术类专业考试成绩
·
2010年浙江省舞蹈类专业省统考成绩查询
·
广州美术学院2010年艺术类成绩查询
·
广西艺术学院2010年专业考试成绩查询
·
中央美术学院2010年专业考试成绩查询
热门文章
·
2010年陕西省艺术类专业课成绩查询
·
2010年内蒙古音乐美术类校考成绩查询
·
西北民族大学2010年艺术类专业成绩及合
·
荆楚理工学院2010年艺术类考试成绩查询
·
三峡大学2010年艺术类考试成绩查询
·
太原师范学院2010年艺术类成绩查询
·
湖北美术学院2010年艺术类专业成绩查询
·
上海师范大学2010年艺术类校考专业合格
·
上海师范大学2010年艺术类成绩查询
·
2010年新疆艺术学院成绩查询
·
包头师范学院2010年艺术类专业成绩查询
·
四川理工学院2010年艺术类专业考试成绩
·
西南交通大学2010年艺术类专业成绩查询
·
天水师范学院2010年艺术类专业成绩查询
·
吉首大学2010年艺术考试合格考生名单查
【
各省美术联考
】
新疆美术统考
|
重庆美术统考
|
河南美术统考
|
辽宁美术统考
|
山东美术统考
浙江美术统考
|
湖北美术统考
|
福建美术统考
|
河北美术统考
|
四川美术统考
广东美术统考
|
安徽美术统考
|
广西美术统考
|
江西美术统考
|
山西美术统考
北京美术统考
|
上海美术统考
|
青海美术统考
|
湖南美术统考
|
黑龙江美术统考
贵州美术统考
|
天津美术统考
|
江苏美术统考
|
陕西美术统考
|
云南美术统考
甘肃美术统考
|
西藏美术统考
|
宁夏美术统考
|
海南艺术高考
|
内蒙古美术统考
吉林美术统考
【
艺考资讯
】
【
招生简章
】
【
成绩查询
】
【
试题辅导
】
【
专业考点
】
【
音乐联考
】
【
体育统考
】
【
书法考试
】
【
播音主持编导
】
【
艺术特长生
】
【
高水平运动员
】
【
艺术分数线
】
【
艺术培训
】
【
艺术类专业
】
【
录取查询
】
【
资料库
】
【
影视表演空乘
】
【
舞蹈音乐模特
】
【
摄影专业
】
【
学前教育
】
【
运动训练
】
【
体育教育社会体育
】
【
服装艺术表演
】
【
艺术院校
】
【
福建艺考
】
【
美术联考
】