首页
高考
美术高考
成人高考
考研
自考
中考
会考
专升本
高校
公务员
导游考试
更多
自主招生
|
保送生
|
艺术特长生
|
高水平运动员
|
空乘民航招飞
|
军校国防生
|
空军招飞
|
高考作文
|
大学排行榜
|
中考分数线
|
中考查分
3773考试网
-
中考网
-
各省中考
-
湖南中考
-
长沙中考
- 正文
【
各省中考
】
北京中考
天津中考
上海中考
湖南中考
四川中考
贵州中考
湖北中考
宁夏中考
青海中考
河北中考
河南中招
江苏中考
浙江中考
云南中考
江西中考
广西中考
广东中考
黑龙江中考
新疆中考
山西中考
陕西中考
重庆中考
甘肃中考
内蒙古中考
海南中考
辽宁中考
山东中考
安徽中考
吉林中考
西藏中考
新疆内高班
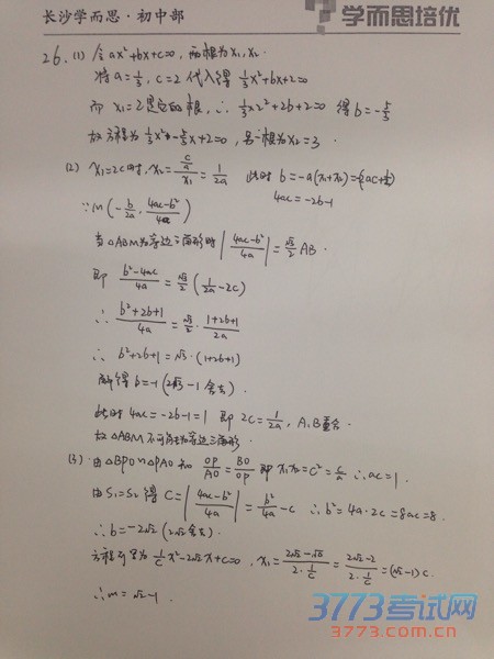
2015年长沙中考数学试题及答案发布
来源:2exam.com
2015-6-16 15:06:43
上一页
1
2
3
4
您可能喜欢的文章
宁乡县教育局调整2015年小学新生报名时间的
2015长沙宁乡中考人数27758人志愿填报方式
2015长沙初二生物地理会考成绩查询入口
2015长沙中考语文试卷点评
2015长沙中考成绩查询7月3日 填报志愿7月4日
2015长沙中考招生咨询会门票免费送
2015长沙中考作文题爱阅读的孩子易拿高分
2015长沙中考初三75035人初二学生78255人
2015长沙中考语文试题难度点评
2015长沙中考作文题:书我的良师益友
上一个文章:
宁乡县教育局调整2015年小学新生报名时间的通知
网站版权与免责声明
①由于各方面情况的不断调整与变化,本网所提供的相关信息请以权威部门公布的正式信息为准.
②本网转载的文/图等稿件出于非商业性目的,如转载稿涉及版权及个人隐私等问题,请在两周内邮件fjksw@163.com联系.
最新文章
·
2015年长沙中考数学试题及答案发布
·
宁乡县教育局调整2015年小学新生报名时
·
2015长沙宁乡中考人数27758人志愿填报方
·
2015长沙初二生物地理会考成绩查询入口
·
2015长沙中考语文试卷点评
·
2015长沙中考成绩查询7月3日 填报志愿7
·
2015长沙中考招生咨询会门票免费送
·
2015长沙中考作文题爱阅读的孩子易拿高
·
2015长沙中考初三75035人初二学生78255
·
2015长沙中考语文试题难度点评
·
2015长沙中考作文题:书我的良师益友
·
2015长沙中考考试时间6月15日-17日
·
2015长沙中考人数比去年增加5227人
·
2015长沙中考人数7.5万人城区设27个考点
·
2015长沙浏阳中考成绩查询查分方式:浏
推荐文章
·
2015年长沙中考数学试题及答案发布
·
2015长沙中考成绩查询查分网站-长沙教育
·
长沙市教育局2015长沙中考时间调整安排
·
2015长沙中考指标生志愿填报时间方式
·
2015年长沙市初中毕业生综合素质评定实
·
2015长沙中考及城区招生工作方案的通知
·
2015年长沙市城区省级示范性普通高中招
·
2015长沙中考高中招生工作实施方案
·
长沙市教育局2015年长沙中考体育考试的
·
2015长沙中考中招方案政策变化解读
·
2015长沙中考语文和英语考试方案
·
2014长沙中考高中录取分数线公布
·
2014长沙中招第一批录取分数线公布 四大
·
2014长沙市城区中考网上志愿填报系统入
·
2014年长沙市城区中考查分及志愿填报说
|
关于我们
|
联系我们
|
版权申明
|
网站导航
|
琼ICP备12003406号