首页
高考
美术高考
成人高考
考研
自考
中考
会考
专升本
高校
公务员
导游考试
更多
自主招生
|
保送生
|
艺术特长生
|
高水平运动员
|
空乘民航招飞
|
军校国防生
|
空军招飞
|
高考作文
|
大学排行榜
|
中考分数线
|
中考查分
3773考试网
-
中考网
-
各省中考
-
山东中考
-
济南中考
- 正文
【
各省中考
】
北京中考
天津中考
上海中考
湖南中考
四川中考
贵州中考
湖北中考
宁夏中考
青海中考
河北中考
河南中招
江苏中考
浙江中考
云南中考
江西中考
广西中考
广东中考
黑龙江中考
新疆中考
山西中考
陕西中考
重庆中考
甘肃中考
内蒙古中考
海南中考
辽宁中考
山东中考
安徽中考
吉林中考
西藏中考
新疆内高班
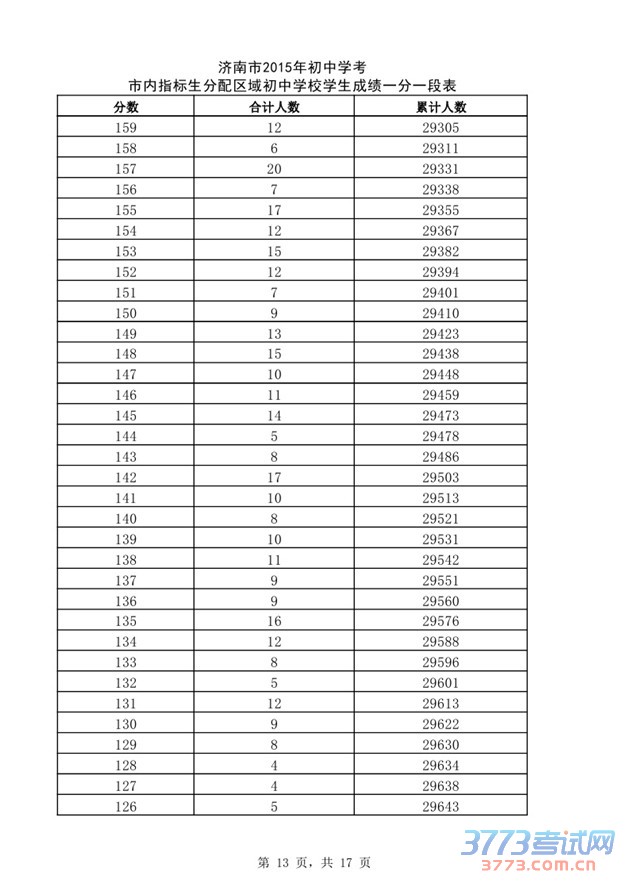
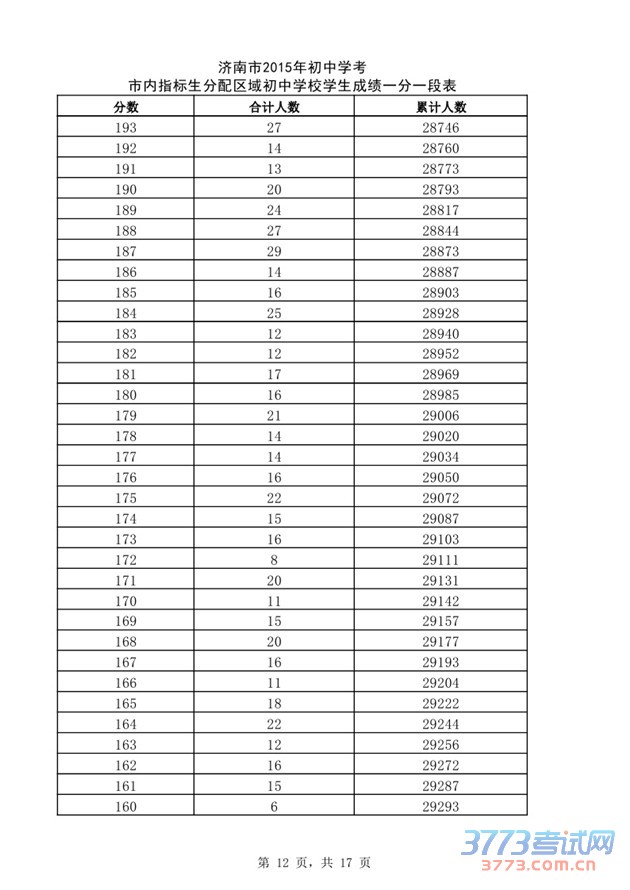
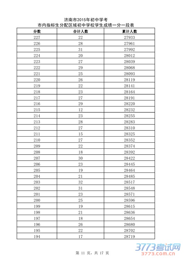
2015济南中考指标生学生成绩一分一段表
来源:济南市教育局
2015-7-2 11:49:26
上一页
1
2
3
4
5
下一页
您可能喜欢的文章
2015济南中考成绩一分一段表(初中学考)
2015济南中考成绩分布情况及提档分数线
2015济南中考最低录取提档线为400分
2015济南中考分数线招生计划指标生分配方案
2015济南中考分数段表提档线招生计划今日公
2015济南中考志愿填报系统入口
济南市教育局2015年中考招生信息发布的声明
2015济南中考分数线 高中录取分数线公布
2015济南幼高专招生面试报考录取比近1.8:1
2015济南中考分数段和提档线7月初公布
上一个文章:
2015济南中考成绩一分一段表(初中学考)
网站版权与免责声明
①由于各方面情况的不断调整与变化,本网所提供的相关信息请以权威部门公布的正式信息为准.
②本网转载的文/图等稿件出于非商业性目的,如转载稿涉及版权及个人隐私等问题,请在两周内邮件fjksw@163.com联系.
最新文章
·
2015济南中考指标生学生成绩一分一段表
·
2015济南中考成绩一分一段表(初中学考)
·
2015济南中考成绩分布情况及提档分数线
·
2015济南中考最低录取提档线为400分
·
2015济南中考分数线招生计划指标生分配
·
2015济南中考分数段表提档线招生计划今
·
2015济南中考志愿填报系统入口
·
济南市教育局2015年中考招生信息发布的
·
2015济南中考分数线 高中录取分数线公布
·
2015济南幼高专招生面试报考录取比近1.
·
2015济南中考分数段和提档线7月初公布
·
2015济南中考成绩一分一段表7月初公布
·
2015济南中考分数线排名7月初公布
·
济南市教育局2015济南中考成绩查询系统
·
2015济南中考成绩查询入口:济南教育局
推荐文章
·
2015济南中考指标生学生成绩一分一段表
·
2015济南中考成绩一分一段表(初中学考)
·
2015济南中考成绩分布情况及提档分数线
·
2015济南中考最低录取提档线为400分
·
2015济南中考志愿填报系统入口
·
济南市教育局2015济南中考成绩查询系统
·
2015济南中考成绩查询入口:济南教育局
·
2015济南中考成绩查询入口-济南市教育局
·
2015济南中考理综化学试题免费发布
·
2015济南中考成绩查询方式网站-济南市教
·
2015济南中考高中体育艺术特长生招生工
·
2015济南中考方案高中招生工作意见
·
2015济南初中学生毕业评价及学业水平考
·
2015济南中考招生方案工作意见
·
2015济南初中生毕业评价及学业水平考试
|
关于我们
|
联系我们
|
版权申明
|
网站导航
|
琼ICP备12003406号