学历类
|
阳光高考
美术高考
研究生
自考
成人高考
专升本
中考
会考
外语类|
四 六 级
职称英语
商务英语
公共英语
日语能力
资格类
|
公 务 员
报 关 员
银行从业
司法考试
导 游 证
教师资格
财会类|
会 计 证
经 济 师
会计职称
注册会计
税 务 师
工程类
|
一级建造
二级建造
造 价 师
造 价 员
咨 询 师
监 理 师
医学类|
卫生资格
执业医师
执业药师
执业护士
国际护士
计算机
|
等级考试
软件水平
应用能力
其它类
|
论文
驾照考试
书法等级
少儿英语
报检员
单证员
教案
专题
考试资讯
文档
3773考试网
-
中考网
-
各省中考
-
山东中考
-
济南中考
- 正文
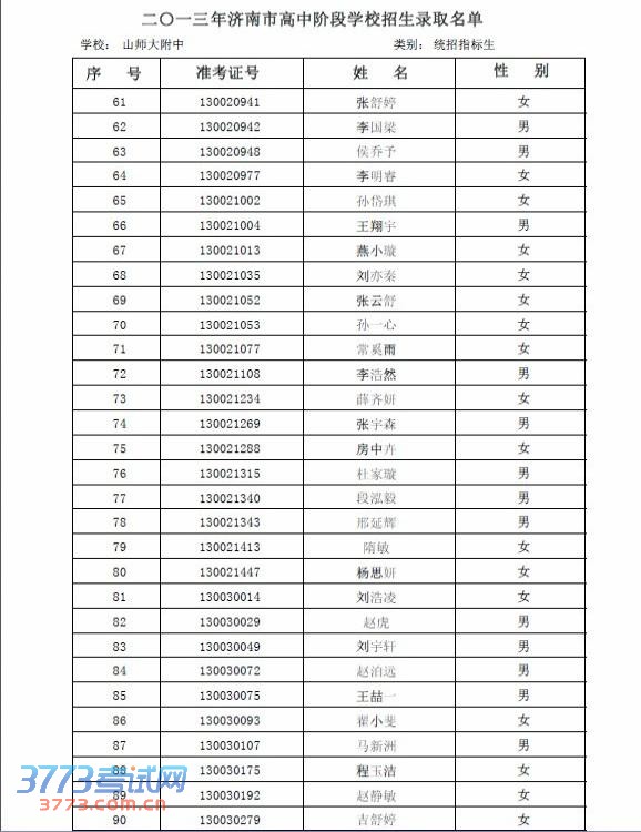
2013山东师范大学附属中学录取名单查询
来源:2exam.com
2013-7-12 10:59:07
2013年山师附中指标生录取分数线
2013年济南一中录取名单查询
济南一中2013年指标生录取分数线
2013济南中考指标生最低录取分数确定
2013济南中考志愿填报系统网址链接
章丘四中章丘五中2013年录取分数线公布
2013章丘五中录取分数线
2013济南中考一志愿录取分数线将发布
2013济南中考指标生分数线自然生成
2013章丘四中中考录取分数线
2013济南中考指标生原则上都要录满
2013济南中考第一次志愿填报录取时间
2013济南中考录取时间7月10日至7月12日
2013济南中考报志愿选不了校区怎么办
2013年济南中考志愿填报开始
分享到:
QQ空间
新浪微博
腾讯微博
人人网
上一个文章:
2013年山师附中指标生录取分数线
【
各省中考
】
北京中考
天津中考
上海中考
湖南中考
四川中考
贵州中考
湖北中考
宁夏中考
青海中考
河北中考
河南中招
江苏中考
浙江中考
云南中考
江西中考
广西中考
广东中考
黑龙江中考
新疆中考
山西中考
陕西中考
重庆中考
甘肃中考
内蒙古中考
海南中考
辽宁中考
山东中考
安徽中考
吉林中考
西藏中考
新疆内高班
热门专题
·
英语四六级查分
·
高考试题及答案
·
中考录取查询
·
中考分数线
·
中考试题答案网
·
中考作文网
·
中考查分网
·
卓越联盟自主招生
·
华约自主招生AAA测试
·
北约自主招生
·
高考零分作文
·
高考查分网
更多专题
推荐文章
·
2013济南中考网上填报志愿详细步骤
·
2013济南中考成绩分数段分布情况
·
2013济南中考指标生分配计划的初中成绩
·
2013年济南中考成绩分数段分布表
·
2013济南中考最低录取提档分数线公布
·
2013年济南中考填报志愿程序及要求发布
·
2013章丘市中考成绩查询开通
·
2013济南中考志愿填报系统http://xkbm
·
2013济南中考成绩查询系统开放
·
2013济南中考成绩查询入口http://xkbm
·
2013济南中考志愿填报系统入口
·
2013济南中考英语试卷答案发布
·
2013济南中考查分系统入口
·
济南市2013年中考推荐生名单公示
·
2013济南中考报名网址http://bm.jnedu
|
关于我们
|
联系我们
|
版权申明
|
网站导航
|
琼ICP备12003406号