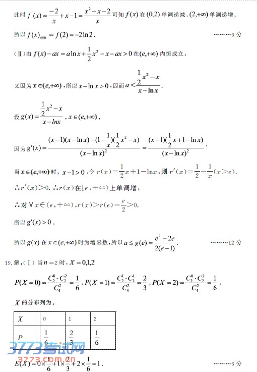
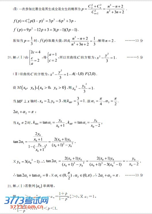
高三数学(理)试题答案 第1页(共5页) 合肥市2014年高三第三次教学质量检测 数学试题(理)参考答案及评分标准 一、选择题:本大题共10小题,每小题5分,共50分,在每小题给出的四个选项中,只有一项 是符合题目要求的. 题号1 2 3 4 5 6 7 8 9 10 答案B A D B B A A C B D 二、填空题:本大题共5小题,每小题5分,共25分,把答案填在答题卡的相应位置 11. 12.34 或4 13.7 14.240 15. 三、解答题 16.解:(Ⅰ) 所以. ………6分 (Ⅱ) , 又,所以 ,所以的取值范围. ………12分 17.解:(Ⅰ)证明: ∵E,F 分别为P′C,P′D 的中点,G 是BC 中点, ∴EF■12 CD ,同理GE■12 P′B 高三数学(理)试题答案 第2页(共5页) 又CD ■AB,∴EF■12 AB. 平面EFG∥平面AB P′. ………6分 (Ⅱ)(综合法)取AD 中点T ,连GT .FT .∴GT ∥CD .又∵EF∥CD . ∴EF∥GT .即E、F、T 、G 共面.∵CD ⊥平面P′AD . ∴EF⊥平面P′AD .∴∠TFD 是二面角G -EF -D 的平面角;易知 ∠TFD =45°. ∴二面角G-EF-D 的平面角为45°. z B A D C E P G F y x T (向量法)由已知底面ABCD 是正方形, 又∵ 平面ABCD , ∴DA ,DC,DP′两两垂直,建立如图空间直角坐标系 D -xyz,则 , 设平面EFG 的法向量为, 取, 易知向量是平面P′CD 的一个法向量, = , ,∴二面角的平面角为45°. ………12分 18.解:(Ⅰ) ,由得, 高三数学(理)试题答案 第3页(共5页) 此时可知在单调递减, 单调递增, 所以. ………6分 (Ⅱ)由在内恒成立, 又因为,所以,因而. 设, , 因为, 当时, ,令r(x)=12 x+1-lnx,则r′(x)=12 -1x (x>e). ∴r′(x)>0.∴r(x)在[e,+∞)上单调增, ∴对∀x∈(e,+∞),r(x)>r(e)=e2 >0. 所以, 所以在时为增函数,所以. ………12分 19.解:(Ⅰ)当=2时, , , , 的分布列为: 0 1 2 . ………6分 高三数学(理)试题答案 第4页(共5页) (Ⅱ)一次参加比赛全是男生或全是女生的概率为. , . 易知当时, 取最大值,因此,解得. ………13分 20.解:(Ⅰ)由,得,所以双曲线的方程为: . ………5分 (Ⅱ)双曲线的方程为: , . 设M ,则. 当轴时, ,则.故, . ; 当时, , ; , 又,∴ , ∴ ,又, ,∴ . ………13分 21.解:(Ⅰ)若数列单调增, 则an+1>an.∴an+1-an=1+p 1-pa2n>0,又a1=1, ∴1+p 1-p>0,∴-1<p<1. 高三数学(理)试题答案 第5页(共5页) 若-1<p<1,则1+p 1-p>0. ∵a1=1,an+1=an+1+p 1-pa2n, ∴an>0(n∈N ∗ ), an+1-an=1+p 1-pa2n>0, 即an+1>an, ∴{an}为单调增数列. 综上,数列单调增数列的充要条件为. ………6分 (Ⅱ)当时,∴ , , 由(Ⅰ)知单调递增, , 又, (n≥2)而a2-a1=2×50, , , ∴ , 综上所述, . ………13分    
|