首页
高考
美术高考
成人高考
考研
自考
中考
会考
专升本
高校
公务员
导游考试
更多
自主招生
|
保送生
|
艺术特长生
|
高水平运动员
|
空乘民航招飞
|
军校国防生
|
空军招飞
|
高考作文
|
大学排行榜
|
中考分数线
|
中考查分
3773考试网
-
高考
-
全国高考
-
安徽高考
- 正文
北京
上海
广东
山东
江苏
浙江
湖北
四川
天津
陕西
湖南
福建
重庆
安徽
辽宁
江西
海南
宁夏
吉林
山西
广西
云南
新疆
黑龙江
青海
甘肃
西藏
河北
贵州
河南
内蒙古
2014安徽高考数学理科答案解析(部分)
来源:2exam.com
2014-6-8 14:55:15
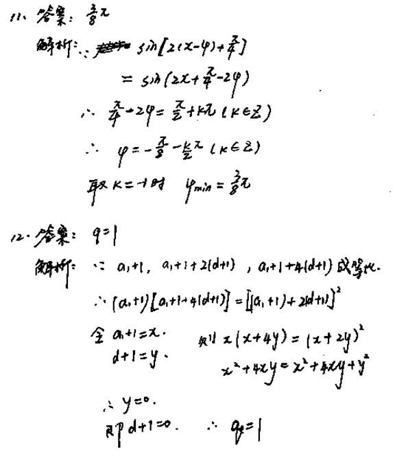
2014安徽高考数学理科答案解析(部分) 2014年高考真题——理科数学(安徽卷)部分试题解析版(仅供参考)
您可能喜欢的文章
2014安徽高考语文试题及答案解析(文字版)
点评2014安徽高考数学试卷难度下降
2014安徽高考语文试卷难度适中
2014安徽高考理综试题试卷发布
2014安徽高考理综试题难度不大点评
2014安徽高考文综试题及部分答案
2014安徽高考数学文科答案及解析
2014安徽高考成绩分数线24日中午可查
2014安徽高考首日无重大违规违纪事件报告
2014安徽高考数学卷试题点评:难度下降
上一个文章:
2014安徽高考语文试题及答案解析(文字版)
网站版权与免责声明
①由于各方面情况的不断调整与变化,本网所提供的相关信息请以权威部门公布的正式信息为准.
②本网转载的文/图等稿件出于非商业性目的,如转载稿涉及版权及个人隐私等问题,请在两周内邮件fjksw@163.com联系.
最新文章
·
2014安徽高考数学理科答案解析(部分)
·
2014安徽高考语文试题及答案解析(文字版
·
点评2014安徽高考数学试卷难度下降
·
2014安徽高考语文试卷难度适中
·
2014安徽高考理综试题试卷发布
·
2014安徽高考理综试题难度不大点评
·
2014安徽高考文综试题及部分答案
·
2014安徽高考数学文科答案及解析
·
2014安徽高考成绩分数线24日中午可查
·
2014安徽高考首日无重大违规违纪事件报
·
2014安徽高考数学卷试题点评:难度下降
·
2014安徽高考语文试题难度点评
·
2014安徽高考卷作文题再度成热点
·
名师简评2014安徽高考语文数学试卷
·
2014安徽高考6月8日下午外语考试千万别
推荐文章
·
2014安徽高考数学理科答案解析(部分)
·
2014安徽高考语文试题及答案解析(文字版
·
2014安徽高考理综试题试卷发布
·
2014安徽高考文综试题及部分答案
·
2014安徽高考数学文科答案及解析
·
2014安徽高考理科数学试题试卷
·
2014安徽高考语文试题发布
·
2014安徽高考省属高校分学校分专业招生
·
2014合肥三模英语试题答案及评分标准
·
2014合肥三模理综试题答案及评分标准
·
2014合肥三模数学理科试题答案及评分标
·
2014合肥三模语文试题答案及评分标准
·
2014安徽体育专业统考成绩查询入口
·
2014安徽高考招生工作实施意见
·
2014安徽高考考试时间表考试模式
|
关于我们
|
联系我们
|
版权申明
|
网站导航
|
琼ICP备12003406号