首页
高考
美术高考
成人高考
考研
自考
中考
会考
专升本
高校
公务员
导游考试
更多
自主招生
|
保送生
|
艺术特长生
|
高水平运动员
|
空乘民航招飞
|
军校国防生
|
空军招飞
|
高考作文
|
大学排行榜
|
中考分数线
|
中考查分
3773考试网
-
高考
-
高考模拟题
-
高考数学
- 正文
北京
上海
广东
山东
江苏
浙江
湖北
四川
天津
陕西
湖南
福建
重庆
安徽
辽宁
江西
海南
宁夏
吉林
山西
广西
云南
新疆
黑龙江
青海
甘肃
西藏
河北
贵州
河南
内蒙古
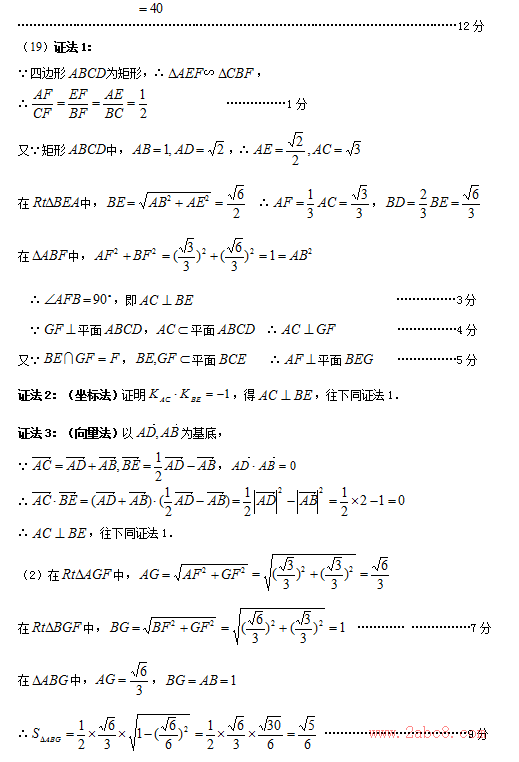
2016韶关一模数学试题及答案评分标准
来源:2exam.com
2016-1-20 9:24:35
上一页
1
2
3
4
5
6
7
下一页
您可能喜欢的文章
2016韶关一模语文试题及答案评分标准
2016年广州市高考模拟考试语文试题及答案
2016佛山高考一模语文试题及答案
2016佛山一模数学理科试题及答案
2016广州一模考试时间1月18日-19日
关于调整广州市等6地市空军招飞复选检测时间
2016年度广东省空军招飞复选时间安排表
2016广东省空军招飞复选工作安排
2016广东体育单招报名及填报志愿时间
2016广东高考全国卷适应测试安排
上一个文章:
2016福建省质检数学文科试题及答案评分标准
网站版权与免责声明
①由于各方面情况的不断调整与变化,本网所提供的相关信息请以权威部门公布的正式信息为准.
②本网转载的文/图等稿件出于非商业性目的,如转载稿涉及版权及个人隐私等问题,请在两周内邮件fjksw@163.com联系.
最新文章
·
2016韶关一模数学试题及答案评分标准
·
2016福建省质检数学文科试题及答案评分
·
2016佛山一模数学理科试题及答案
·
2016福建省质检理科数学试题及答案
·
2016广州零模理科数学试题及答案评分标
·
2016广州零模文科数学试题答案及评分标
·
2016学年上厦门市七年级质检数学答案
·
2016湖北重点中学第二次联考文科数学试
·
2016湖北部分重点中学第二次联考理科数
·
2016绵阳高三二诊数学答案及评分标准
·
2016惠州三调数学试题及答案评分标准
·
2016石家庄质检二数学答案及评分标准
·
2015—2016学年上厦门市八年级质量检测
·
2016锦州第一学期期末高二理科数学答案
·
2016宜昌元月调考理科数学答案及评分标
推荐文章
·
2016韶关一模数学试题及答案评分标准
·
2016福建省质检数学文科试题及答案评分
·
2016佛山一模数学理科试题及答案
·
2016福建省质检理科数学试题及答案
·
2016广州零模理科数学试题及答案评分标
·
2016广州零模文科数学试题答案及评分标
·
2016惠州三调数学试题及答案评分标准
·
2016宜昌元月调考理科数学答案及评分标
·
2016南京一模盐城一模数学试题及答案
·
2016郑州一测一模文科数学答案评分标准
·
2016厦门初三质检数学试题答案评分标准
·
2016宜昌高三元月调考理科数学试题答案
·
2016宜昌高三元月调考文科数学答案及评
·
2015唐山三模理科数学试题及答案
·
2015盐城三模数学试题及答案
|
关于我们
|
联系我们
|
版权申明
|
网站导航
|
琼ICP备12003406号