3773考试网
 3773考试网 - 高考 - 高考模拟题 - 高考数学 - 正文
北京 上海 广东 山东 江苏 浙江 湖北 四川 天津 陕西 湖南 福建 重庆 安徽 辽宁 江西 海南 宁夏 吉林 山西 广西 云南 新疆 黑龙江 青海 甘肃 西藏 河北 贵州 河南 内蒙古

2016安庆三模数学理科试题答案

来源:2exam.com 2016-4-24 10:39:36

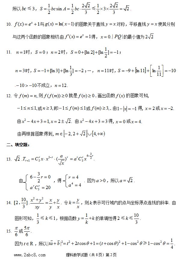
2016年安庆市高三模拟考试(三模)理科数学试题参考答案
一、选择题:本大题共12小题,每小题5分,满分60分. 
题号 1 2 3 4 5 6 7 8 9 10 11 12
答案 A C B B D A C A B D C D



2016安庆三模数学答案2016年安庆市高三模拟考试三模理科数学试题答案2016安庆三模数学答案2016年安庆市高三模拟考试三模理科数学试题答案



  • 上一个文章:
  • 网站版权与免责声明
    ①由于各方面情况的不断调整与变化,本网所提供的相关信息请以权威部门公布的正式信息为准.
    ②本网转载的文/图等稿件出于非商业性目的,如转载稿涉及版权及个人隐私等问题,请在两周内邮件fjksw@163.com联系.


    | 关于我们 | 联系我们 | 版权申明 | 网站导航 |
    琼ICP备12003406号