首页
高考
美术高考
成人高考
考研
自考
中考
会考
专升本
高校
公务员
导游考试
更多
自主招生
|
保送生
|
艺术特长生
|
高水平运动员
|
空乘民航招飞
|
军校国防生
|
空军招飞
|
高考作文
|
大学排行榜
|
中考分数线
|
中考查分
3773考试网
-
高考
-
高校录取分数线
-
贵州
- 正文
北京
上海
广东
山东
江苏
浙江
湖北
四川
天津
陕西
湖南
福建
重庆
安徽
辽宁
江西
海南
宁夏
吉林
山西
广西
云南
新疆
黑龙江
青海
甘肃
西藏
河北
贵州
河南
内蒙古
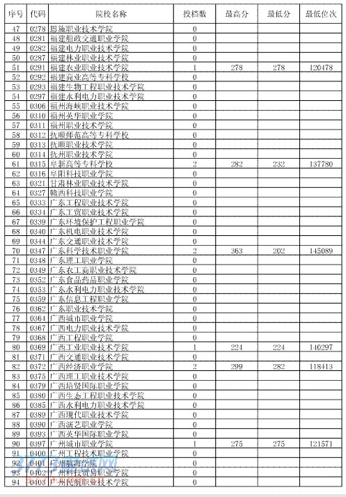
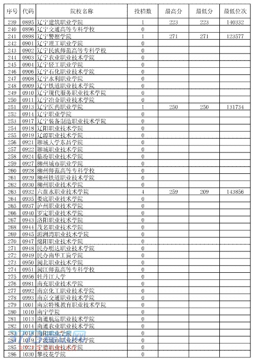
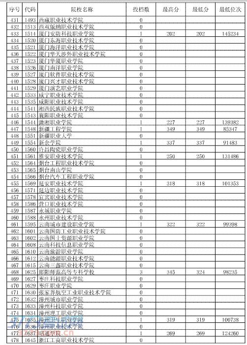
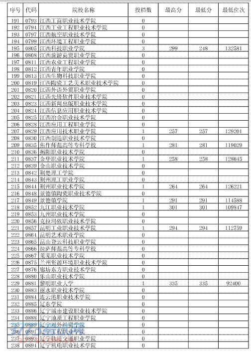
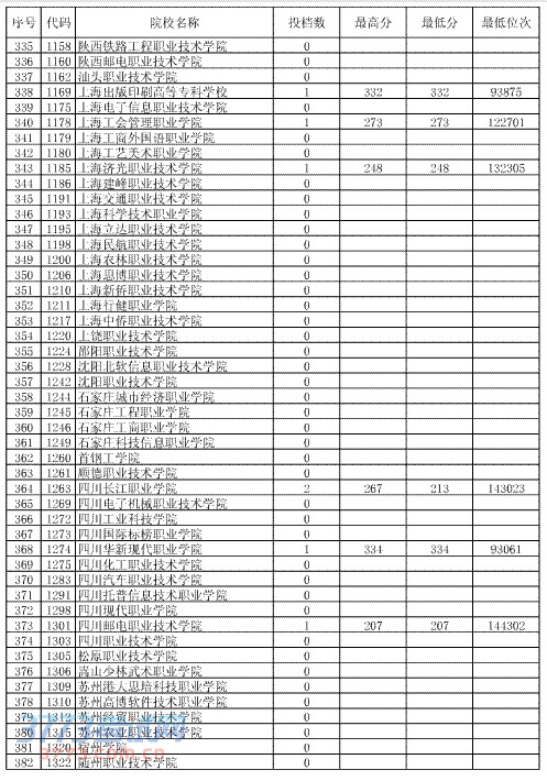
2014贵州高考专科理科第3次征集志愿投档分数线
来源:贵州省招生考试院
2014-8-18 20:24:19
高职(专科)理工类第3次征集志愿投档情况
您可能喜欢的文章
2014贵州高考专科文史类第3次征集志愿投档分数线
2014贵州中职单报高职省内部分院校第五次网上补报志愿说明
2014贵州高考高职专科院校第四次网上补报志愿说明
2014贵州中职单报高职省内三所院校降分第五次补报志愿
2014贵州高考专科院校第四次补报志愿部分院校降分
2014贵州高考专科理科第2次征集志愿投档分数线
2014贵州高考专科文史第2次征集志愿投档分数线
2014贵州高考专科文科第三次补报志愿缺额计划
2014贵州高考专科理科第三次补报志愿缺额计划
2014贵州高考高职专科院校降分补报志愿缺额数统计表
上一个文章:
2014贵州高考专科文史类第3次征集志愿投档分数线
网站版权与免责声明
①由于各方面情况的不断调整与变化,本网所提供的相关信息请以权威部门公布的正式信息为准.
②本网转载的文/图等稿件出于非商业性目的,如转载稿涉及版权及个人隐私等问题,请在两周内邮件fjksw@163.com联系.
最新文章
·
2014贵州高考专科理科第3次征集志愿投档
·
2014贵州高考专科文史类第3次征集志愿投
·
2014年7月27日贵州二本院校录取分数线
·
2014年7月27日贵州二本院校预科录取分数
·
复旦大学2014贵州国防生录取分数线公布
·
2014香港岭南大学贵州自主招生录取分数
·
2014香港理工大学贵州自主招生录取分数
·
2014香港科技大学贵州自主招生录取分数
·
2014香港浸会大学贵州自主招生录取分数
·
2014香港教育学院贵州自主招生录取分数
·
2014香港公开大学贵州自主招生录取分数
·
2014香港大学贵州自主招生录取分数线
·
2014长安大学贵州招生计划近三年录取分
·
2013哈尔滨工业大学贵州录取分数线
·
2013上海工程技术大学贵州录取分数线
推荐文章
·
2014贵州高考专科文史类第3次征集志愿投
·
2014年7月27日贵州二本院校录取分数线
·
2014年7月27日贵州二本院校预科录取分数
|
关于我们
|
联系我们
|
版权申明
|
网站导航
|
琼ICP备12003406号