首页
高考
美术高考
成人高考
考研
自考
中考
会考
专升本
高校
公务员
导游考试
更多
自主招生
|
保送生
|
艺术特长生
|
高水平运动员
|
空乘民航招飞
|
军校国防生
|
空军招飞
|
高考作文
|
大学排行榜
|
中考分数线
|
中考查分
3773考试网
-
中考网
-
各省中考
-
重庆中考
- 正文
【
各省中考
】
北京中考
天津中考
上海中考
湖南中考
四川中考
贵州中考
湖北中考
宁夏中考
青海中考
河北中考
河南中招
江苏中考
浙江中考
云南中考
江西中考
广西中考
广东中考
黑龙江中考
新疆中考
山西中考
陕西中考
重庆中考
甘肃中考
内蒙古中考
海南中考
辽宁中考
山东中考
安徽中考
吉林中考
西藏中考
新疆内高班
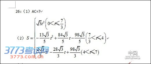
2014重庆中考数学B卷试题及答案发布
来源:2exam.com
2014-6-18 11:56:44
您可能喜欢的文章
2014重庆中考物理B卷试题及答案发布
2014重庆中考语文B卷试题及答案发布
2014重庆万州区中考录取分数线公布时间
2014年重庆万州区中考高中招生考试工作时间表
2014重庆万州区中考成绩查询录取查询:万州区中学生网站
2014重庆万州区普通高中招生人数计划
2014重庆忠县中考咨询热线54233460开通
2014重庆彭水县中考成绩查询查分方式入口
2014重庆酉阳县中考成绩查询查分方式入口
2014重庆秀山县中考成绩查询查分方式入口
上一个文章:
2014重庆中考物理B卷试题及答案发布
网站版权与免责声明
①由于各方面情况的不断调整与变化,本网所提供的相关信息请以权威部门公布的正式信息为准.
②本网转载的文/图等稿件出于非商业性目的,如转载稿涉及版权及个人隐私等问题,请在两周内邮件fjksw@163.com联系.
最新文章
·
2014重庆中考数学B卷试题及答案发布
·
2014重庆中考物理B卷试题及答案发布
·
2014重庆中考语文B卷试题及答案发布
·
2014重庆万州区中考录取分数线公布时间
·
2014年重庆万州区中考高中招生考试工作
·
2014重庆万州区中考成绩查询录取查询:
·
2014重庆万州区普通高中招生人数计划
·
2014重庆忠县中考咨询热线54233460开通
·
2014重庆彭水县中考成绩查询查分方式入
·
2014重庆酉阳县中考成绩查询查分方式入
·
2014重庆秀山县中考成绩查询查分方式入
·
2014重庆石柱县中考成绩查询查分方式入
·
2014重庆垫江县中考成绩查询查分方式入
·
2014重庆武隆县中考成绩查询查分方式入
·
2014重庆巫溪县中考成绩查询查分方式入
推荐文章
·
2014重庆中考成绩查询时间方式及入口
·
2014重庆中考历史A卷试题及答案发布
·
2014重庆中考英语B卷试题答案
·
2014年重庆中考语文A卷试题及答案发布
·
2014年重庆市中考物理B卷试题及答案发布
·
2014重庆中考语文试题(B卷)发布
·
2014重庆市中考物理试题(B卷)
·
2014重庆中考考试时间科目分值
·
关于做好2014年重庆普通中小学招生考试
·
重庆市教育委员会2014中职学校招生宣传
·
重庆市教育委员会2014年空飞预备班招生
·
2014年重庆涪陵区中考体育考试工作实施
·
2014重庆中考体育考试工作方案的通知
·
2013重庆联招各校录取分数线公布
·
北碚区2013中考成绩查询入口
|
关于我们
|
联系我们
|
版权申明
|
网站导航
|
琼ICP备12003406号