首页
高考
美术高考
成人高考
考研
自考
中考
会考
专升本
高校
公务员
导游考试
更多
自主招生
|
保送生
|
艺术特长生
|
高水平运动员
|
空乘民航招飞
|
军校国防生
|
空军招飞
|
高考作文
|
大学排行榜
|
中考分数线
|
中考查分
3773考试网
-
中考网
-
各省中考
-
上海中考
- 正文
【
各省中考
】
北京中考
天津中考
上海中考
湖南中考
四川中考
贵州中考
湖北中考
宁夏中考
青海中考
河北中考
河南中招
江苏中考
浙江中考
云南中考
江西中考
广西中考
广东中考
黑龙江中考
新疆中考
山西中考
陕西中考
重庆中考
甘肃中考
内蒙古中考
海南中考
辽宁中考
山东中考
安徽中考
吉林中考
西藏中考
新疆内高班
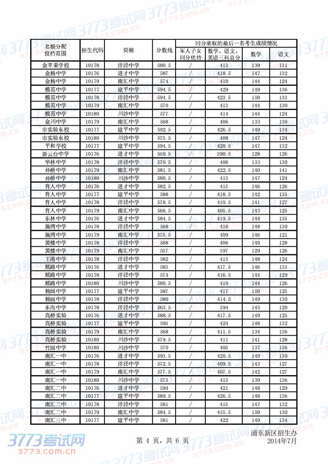
2014浦东新区中考高中名额分配分校投档分数线
来源:2exam.com
2014-7-19 16:39:29
2014年浦东新区中等学校高中阶段招生高中名额分配分校投档分数线
您可能喜欢的文章
2014年上海市松江区中招零志愿最低投档分数线
2014上海市松江区中考名额分配最低投档分数线
2014年上海市松江区中招普通高中投档分数线
2014年上海金山区中考征求志愿学校缺额计划表
2014上海民办奉浦学校民办民一中学分数线
2014上海外国语大学西外外国语中学分数线
2014松江九峰实验学校分数线
2014上海尚德实验学校民办交大南洋中学分数线
2014上海师范大学附属第二外国语学校分数线
2014上海工商外国语职业学院附属中学分数线
上一个文章:
2014年上海市松江区中招零志愿最低投档分数线
网站版权与免责声明
①由于各方面情况的不断调整与变化,本网所提供的相关信息请以权威部门公布的正式信息为准.
②本网转载的文/图等稿件出于非商业性目的,如转载稿涉及版权及个人隐私等问题,请在两周内邮件fjksw@163.com联系.
最新文章
·
2014浦东新区中考高中名额分配分校投档
·
2014年上海市松江区中招零志愿最低投档
·
2014上海市松江区中考名额分配最低投档
·
2014年上海市松江区中招普通高中投档分
·
2014年上海金山区中考征求志愿学校缺额
·
2014上海金山区中考零志愿投档分数线
·
2014年上海金山区中考名额分配投档分数
·
2014上海市民办高中最低投档分数线公布
·
2014上海市民办高中投档分数线公布
·
2014上海中职提前批录取名单(中本贯通中
·
2014上海鲁矿中职校提前批录取名单
·
2014上海大屯中职校提前批录取名单
·
2014上海崇明县中职校提前批录取名单
·
2014上海奉贤区中职校提前批录取名单
·
2014上海青浦区中职校提前批录取名单
推荐文章
·
2014上海市中考民办高中投档分数线
·
2014上海中考分数线 最低投档录取分数线
·
2014年上海中考成绩查询开通 查分网站入
·
东方网2014上海中考成绩查询平台入口
·
2014上海中考成绩查询7月10日公布
·
2014年上海市高中推荐生征求志愿填报系
·
2014上海市高中推荐生第一二志愿预录取
·
2014上海市中招加分及政策性照顾名单公
·
2014年上海市中考招生网上咨询活动入口
·
2014上海中考高中学校零志愿招生计划
·
2014年上海市中招提前批志愿填报系统入
·
2014上海高中学校提前招生录取志愿填报
·
2014年上海市高中国际课程班招生方案
·
2014上海中考高中学校提前招生录取方案
·
2014年上海市实验性示范性高中推荐招生
|
关于我们
|
联系我们
|
版权申明
|
网站导航
|
琼ICP备12003406号