首页
高考
美术高考
成人高考
考研
自考
中考
会考
专升本
高校
公务员
导游考试
更多
自主招生
|
保送生
|
艺术特长生
|
高水平运动员
|
空乘民航招飞
|
军校国防生
|
空军招飞
|
高考作文
|
大学排行榜
|
中考分数线
|
中考查分
3773考试网
-
中考网
-
初招
- 正文
【
各省中考
】
北京中考
天津中考
上海中考
湖南中考
四川中考
贵州中考
湖北中考
宁夏中考
青海中考
河北中考
河南中招
江苏中考
浙江中考
云南中考
江西中考
广西中考
广东中考
黑龙江中考
新疆中考
山西中考
陕西中考
重庆中考
甘肃中考
内蒙古中考
海南中考
辽宁中考
山东中考
安徽中考
吉林中考
西藏中考
新疆内高班
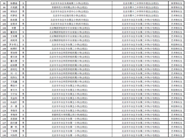
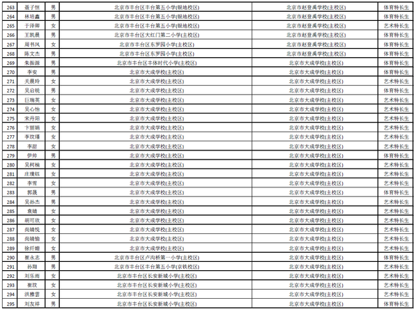
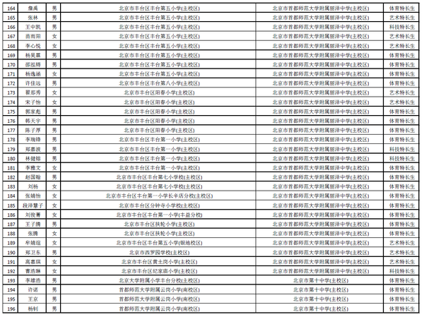
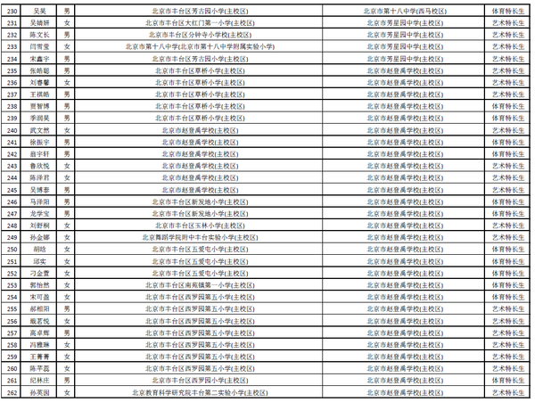
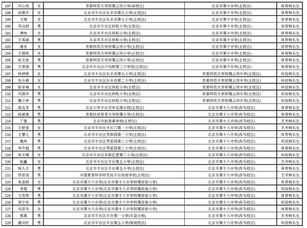
2015北京丰台区小升初特长生录取名单公示
来源:2exam.com
2015-5-19 19:53:33
丰台区5月18日公布了2015小升初特长生拟录取名单进行公示,共有325名丰台学生通过特长生上岸成功进入自己理想的学校。
您可能喜欢的文章
2015年北京中招招生简章部分内容调整的通知
2015北京中考志愿填报5月22日开始
2015北京中招市级统筹名额直通高校双培外培
北京第二外国语学院非通用语种人才贯通培养
2015北京第二外国语学院中招小语种批次招收
北京海淀中招办负责人2015中考政策解读
北京朝阳区中招办主任2015中考政策解读
北京石景山中招办2015中考政策解读
2015北京丰台区中招办主任中考政策解读
2015北京中考高中国际班招生计划1430人
上一个文章:
2015哈尔滨民办小升初报名最高招考比例达9:1
网站版权与免责声明
①由于各方面情况的不断调整与变化,本网所提供的相关信息请以权威部门公布的正式信息为准.
②本网转载的文/图等稿件出于非商业性目的,如转载稿涉及版权及个人隐私等问题,请在两周内邮件fjksw@163.com联系.
最新文章
·
2015北京丰台区小升初特长生录取名单公
·
2015哈尔滨民办小升初报名最高招考比例
·
2015海口小升初指标到校生如何分配?
·
2015厦门集美区小升初电脑派位推荐名额
·
2015厦门集美区初中招生计划及划片一览
·
厦门集美区2015年小学毕业和初中招生工
·
集美区教育局2015年厦门小升初招生工作
·
汕头市教育局2015汕头小学初中招生工作
·
2015青岛平度市初中计划招生11768人
·
2015海口中小学新生报名流程片区划分受
·
2015北京小升初特长生5233人次报考
·
2015年郑州小学毕业生近5.6万 小升初特
·
2015南京小升初招生政策 玄外小升初登记
·
2015云师大实验中学小升初确认时间方式
·
2015云大附中星耀校区小升初确认时间方
推荐文章
·
汕头市教育局2015汕头小学初中招生工作
·
2015常州市区初中体育艺术科技特长生招
·
2015常州幼儿园小学小升初招生工作的指
·
2015无锡市区初中招生工作意见
·
2015北海市直属学校初中招生简章
·
2015年海口市直属学校招生范围划分
·
2015年吉林市小升初时间安排
·
吉林市教育局2015吉林市小学初中招生入
·
2015成都小升初入学政策图解
·
河南省教育厅2015年义务教育招生工作的
·
2015合肥小学初中招生入学工作的指导意
·
大连市教育局2015小学初中招生入学工作
·
珠海市2015年普通中小学招生考试工作实
·
黄山市教育局2015年小学小升初招生工作
·
2015年苏州市教育局直属小学与初中入学
|
关于我们
|
联系我们
|
版权申明
|
网站导航
|
琼ICP备12003406号