首页
高考
美术高考
成人高考
考研
自考
中考
会考
专升本
高校
公务员
导游考试
更多
自主招生
|
保送生
|
艺术特长生
|
高水平运动员
|
空乘民航招飞
|
军校国防生
|
空军招飞
|
高考作文
|
大学排行榜
|
中考分数线
|
中考查分
3773考试网
-
中考网
-
各省中考
-
浙江中考
-
丽水中考
- 正文
【
各省中考
】
北京中考
天津中考
上海中考
湖南中考
四川中考
贵州中考
湖北中考
宁夏中考
青海中考
河北中考
河南中招
江苏中考
浙江中考
云南中考
江西中考
广西中考
广东中考
黑龙江中考
新疆中考
山西中考
陕西中考
重庆中考
甘肃中考
内蒙古中考
海南中考
辽宁中考
山东中考
安徽中考
吉林中考
西藏中考
新疆内高班
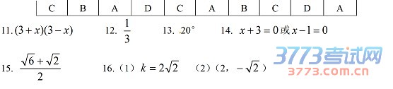
2015丽水中考数学答案发布
来源:2exam.com
2015-6-16 11:53:55
公布丽水中考试题、答案和中考作文。祝各位考生都能取得好的成绩。2015年浙江丽水中考数学试题答案:
您可能喜欢的文章
2015丽水中考数学试题免费版
2015年丽水中考语文试题免费发布
2015丽水中考语文试题发布
2015丽水中考作文题目点评
2015丽水中考作文题:给自己的世界一片晴朗
2015丽水中考语文试题及答案发布
2015丽水中考数学试卷答案发布
2015丽水庆元县中考成绩查询网站- 庆元县教
2015丽水云和县中考成绩查询网站- 云和县教
2015丽水松阳县中考成绩查询网站- 松阳县教
上一个文章:
2015丽水中考数学试题免费版
网站版权与免责声明
①由于各方面情况的不断调整与变化,本网所提供的相关信息请以权威部门公布的正式信息为准.
②本网转载的文/图等稿件出于非商业性目的,如转载稿涉及版权及个人隐私等问题,请在两周内邮件fjksw@163.com联系.
最新文章
·
2015丽水中考数学答案发布
·
2015丽水中考数学试题免费版
·
2015年丽水中考语文试题免费发布
·
2015丽水中考语文试题发布
·
2015丽水中考作文题目点评
·
2015丽水中考作文题:给自己的世界一片
·
2015丽水中考语文试题及答案发布
·
2015丽水中考数学试卷答案发布
·
2015丽水庆元县中考成绩查询网站- 庆元
·
2015丽水云和县中考成绩查询网站- 云和
·
2015丽水松阳县中考成绩查询网站- 松阳
·
2015丽水景宁县中考成绩查询网站- 景宁
·
2015丽水龙泉市中考成绩查询网站- 龙泉
·
2015丽水缙云中考成绩查询网站- 缙云县
·
2015丽水青田中考成绩查询网站- 青田县
推荐文章
·
2015丽水中考数学答案发布
·
2015年丽水中考语文试题免费发布
·
2015丽水中考数学试卷答案发布
·
2015丽水中考市直属高中志愿填报网址
·
2015丽水中考高中招生计划发布
·
丽水市教育局2015年高中委培生招生的实
·
2015丽水中考时间考试科目设置
·
丽水市教育局2015年中考高中招生录取工
·
2015丽水高中提前自主招收初中保送生工
·
2014丽水中考分数线公布
·
2014丽水中考成绩查询入口开通(免费)
·
丽水市2014年中考英语试题及答案发布
·
2014年丽水市中考科学试题及答案发布
·
丽水市教育局2014年普通高中委培生招生
·
2014丽水五年制学前教育专业招生工作的
|
关于我们
|
联系我们
|
版权申明
|
网站导航
|
琼ICP备12003406号