首页
高考
美术高考
成人高考
考研
自考
中考
会考
专升本
高校
公务员
导游考试
更多
自主招生
|
保送生
|
艺术特长生
|
高水平运动员
|
空乘民航招飞
|
军校国防生
|
空军招飞
|
高考作文
|
大学排行榜
|
中考分数线
|
中考查分
3773考试网
-
中考网
-
各省中考
-
贵州中考
-
黔东南中考
- 正文
【
各省中考
】
北京中考
天津中考
上海中考
湖南中考
四川中考
贵州中考
湖北中考
宁夏中考
青海中考
河北中考
河南中招
江苏中考
浙江中考
云南中考
江西中考
广西中考
广东中考
黑龙江中考
新疆中考
山西中考
陕西中考
重庆中考
甘肃中考
内蒙古中考
海南中考
辽宁中考
山东中考
安徽中考
吉林中考
西藏中考
新疆内高班
2014黔东南中考数学试题及答案(图片版)
来源:2exam.com
2015-1-28 10:36:11
黔东南州2014年中考数学试题及答案(图片版)
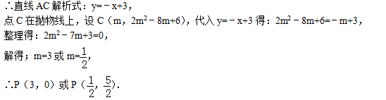
黔东南州2014年中考数学试题及答案(图片版)已经出炉, 。
点击下载完整版:
黔东南州2014年中考数学试题及答案(图片版)
您可能喜欢的文章
2014年黔东南州中考语文试题
2014凯里一中民族高中振华民族中学录取分数
2014黔东南中考分数线 高中录取分数线划定
2014黔东南教育信息网中考成绩查询网址入口
2014黔东南中考人数51645人招生计划35930人
黔东南教育信息网2014黔东南中考查分网站
2014黔东南中考成绩查询网站:黔东南教育网
黔东南教育信息网网址:http://www.qdnedu.
黔东南州2014年中考数学试题发布
黔东南州2014年中考理综试题发布
上一个文章:
2014年黔东南州中考语文试题
网站版权与免责声明
①由于各方面情况的不断调整与变化,本网所提供的相关信息请以权威部门公布的正式信息为准.
②本网转载的文/图等稿件出于非商业性目的,如转载稿涉及版权及个人隐私等问题,请在两周内邮件fjksw@163.com联系.
最新文章
·
2014黔东南中考数学试题及答案(图片版
·
2014年黔东南州中考语文试题
·
2014凯里一中民族高中振华民族中学录取
·
2014黔东南中考分数线 高中录取分数线划
·
2014黔东南教育信息网中考成绩查询网址
·
2014黔东南中考人数51645人招生计划359
·
黔东南教育信息网2014黔东南中考查分网
·
2014黔东南中考成绩查询网站:黔东南教
·
黔东南教育信息网网址:http://www.qdn
·
黔东南州2014年中考数学试题发布
·
黔东南州2014年中考理综试题发布
·
黔东南州2014年中考文综试题发布
·
2014黔东南教育信息网成绩查询官方网站
·
2014贵州黔东南中考语文试题及答案
·
2014贵州黔东南中考数学试题及答案
推荐文章
·
2014黔东南中考分数线 高中录取分数线划
·
2014黔东南中考与高中招生方案工作的通
·
2014黔东南中考考试时间科目及分值
·
2012年黔东南示范性普通高中统招录取分
|
关于我们
|
联系我们
|
版权申明
|
网站导航
|
琼ICP备12003406号