首页
高考
美术高考
成人高考
考研
自考
中考
会考
专升本
高校
公务员
导游考试
更多
自主招生
|
保送生
|
艺术特长生
|
高水平运动员
|
空乘民航招飞
|
军校国防生
|
空军招飞
|
高考作文
|
大学排行榜
|
中考分数线
|
中考查分
3773考试网
-
2016中考
-
各省中考
-
湖北中考
-
武汉中考
- 正文
【
各省中考
】
北京中考
天津中考
上海中考
湖南中考
四川中考
贵州中考
湖北中考
宁夏中考
青海中考
河北中考
河南中招
江苏中考
浙江中考
云南中考
江西中考
广西中考
广东中考
黑龙江中考
新疆中考
山西中考
陕西中考
重庆中考
甘肃中考
内蒙古中考
海南中考
辽宁中考
山东中考
安徽中考
吉林中考
西藏中考
新疆内高班
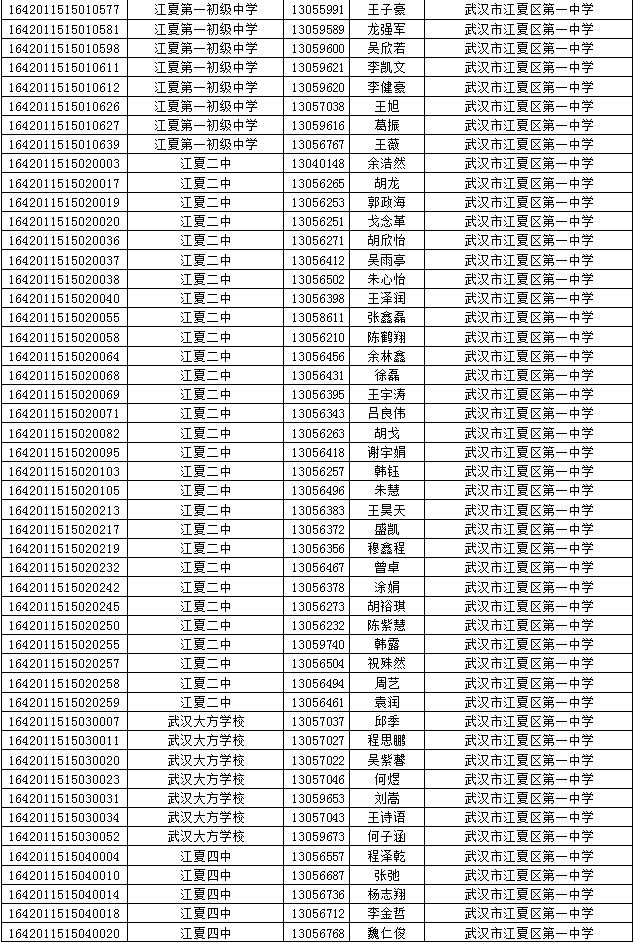
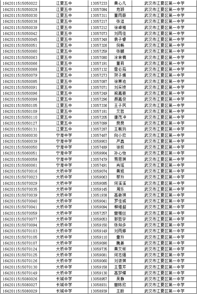
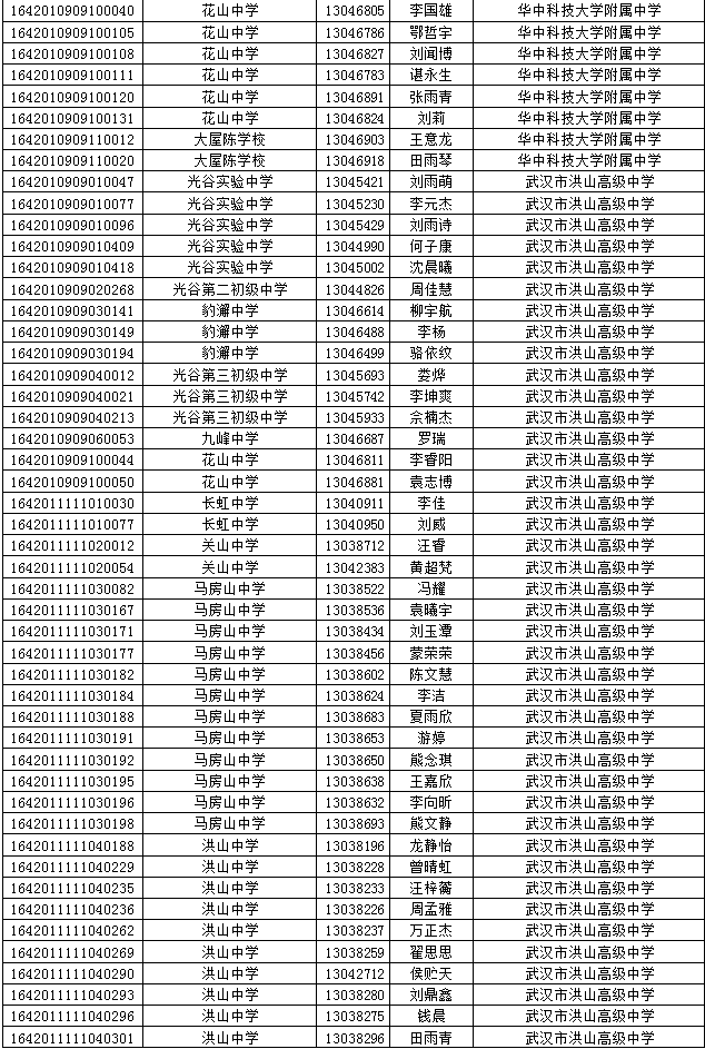
2016武汉中考高中学校招录分配生候选名单汇总表
来源:武汉市招生考试办
2016-5-10 8:46:49
武汉市2016年部分普通高中学校招录分配生候选名单汇总表3
1
2
3
下一页
您可能喜欢的文章
2016武汉中考军人子女优待名单
2016武汉中招网上志愿填报结束 一次成功率不
2016武汉中考分配生招录政策条件等
2016武汉中考网填志愿 专家提醒新规易致扎堆
武汉招考网2016武汉中考志愿填报入口
武汉三牛中美中学高中学费每年18万元 初中1
武汉招考网2016武汉中考志愿填报时间网站
2016武汉中考招生计划公布 公办高中32348人
2016武汉中考网上填报志愿登录武汉招考网
2016武汉中招志愿填报提醒:第一批录取后不
上一个文章:
2016武汉中考军人子女优待名单
网站版权与免责声明
①由于各方面情况的不断调整与变化,本网所提供的相关信息请以权威部门公布的正式信息为准.
②本网转载的文/图等稿件出于非商业性目的,如转载稿涉及版权及个人隐私等问题,请在两周内邮件fjksw@163.com联系.
最新文章
·
2016武汉中考高中学校招录分配生候选名
·
2016武汉中考军人子女优待名单
·
2016武汉中招网上志愿填报结束 一次成功
·
2016武汉中考分配生招录政策条件等
·
2016武汉中考网填志愿 专家提醒新规易致
·
武汉招考网2016武汉中考志愿填报入口
·
武汉三牛中美中学高中学费每年18万元 初
·
武汉招考网2016武汉中考志愿填报时间网
·
2016武汉中考招生计划公布 公办高中323
·
2016武汉中考网上填报志愿登录武汉招考
·
2016武汉中招志愿填报提醒:第一批录取
·
2016武汉中考网上填报志愿须知
·
2016年武汉市初中毕业学校代码
·
武汉部分民办高中收费标准
·
武汉市公办普通高中学费标准一览表
推荐文章
·
武汉招考网2016武汉中考志愿填报入口
·
2016武汉中考高中招生考试问答2
·
2016武汉中考招生考试政策问答1
·
2016武汉中考网上填报志愿模拟演练安排
·
2016武汉中考时间考试科目分值
·
2016武汉中考4所高中网上招生试验管理的
·
武汉市教育局2016中考高中招生考试工作
·
2016武汉中考物理化学生物实验操作技能
·
2016武汉中考普通高中宏志班招生工作的
·
2016武汉中考高中分配生招录工作的通知
·
2016武汉中考中招政策出台
·
2016武汉中考物理化学生物实验操作技能
·
2016武汉中考核对报名信息系统入口
·
2016武汉中考报名信息核对登录武汉招考
·
2016武汉中考体育考试时间内容分值政策
|
关于我们
|
联系我们
|
版权申明
|
网站导航
|
琼ICP备12003406号