招生考试网
学历类| 阳光高考 研 究 生 自学考试 成人高考 专 升 本 中考会考 外语类| 四 六 级 职称英语 商务英语 公共英语 日语能力
资格类| 公 务 员 报 关 员 银行从业 司法考试 导 游 证 教师资格 财会类| 会 计 证 经 济 师 会计职称 注册会计 税 务 师
工程类| 一级建造 二级建造 造 价 师 造 价 员 咨 询 师 监 理 师 医学类| 卫生资格 执业医师 执业药师 执业护士 国际护士
计算机| 等级考试 软件水平 应用能力 其它类| 书画等级 美国高考 驾 驶 员 书法等级 少儿英语 报 检 员 单 证 员 出国留学
 招生考试网 - 自学考试 - 自考真题 - 正文
全国2010年4月自考概率论与数理统计(二)试题
来源:fjzsksw.com 2010-5-12 10:30:37 【字体:小 大】

全国2010年4月高等教育自学考试
概率论与数理统计(二)试题
课程代码:02197

一、单项选择题(本大题共10小题,每小题2分,共20分)
在每小题列出的四个备选项中只有一个是符合题目要求的,请将其代码填写在题后的括号内。错选、多选或未选均无分。

1.设AB是任意两个互不相容事件,则下列结论中正确的是( )
A. P(A)=1-P(B)
B. P(A-B)=P(B)
C. P(AB)=P(A)P(B)
D. P(A-B)=P(A)

2.设AB为两个随机事件,且全国2010年4月高等教育自学考试概率论与数理统计(二)试题,则全国2010年4月高等教育自学考试概率论与数理统计(二)试题( )
A. 1
B. P(A)
C. P(B)
D. P(AB)

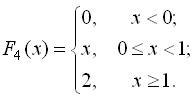
3.下列函数中可作为随机变量分布函数的是( )
A.全国2010年4月高等教育自学考试概率论与数理统计(二)试题
B.全国2010年4月高等教育自学考试概率论与数理统计(二)试题
C. 全国2010年4月高等教育自学考试概率论与数理统计(二)试题

D. 全国2010年4月高等教育自学考试概率论与数理统计(二)试题

4.设离散型随机变量X的分布律为 全国2010年4月高等教育自学考试概率论与数理统计(二)试题
全国2010年4月高等教育自学考试概率论与数理统计(二)试题( )

A.0.3
B.0.4
C.0.6
D.0.7

5.设二维随机变量(XY)的分布律为( )
全国2010年4月高等教育自学考试概率论与数理统计(二)试题
且X与Y相互独立,则下列结论正确的是
A.a=0.2,b=0.6
B.a=-0.1,b=0.9
C.a=0.4,b=0.4
D.a=0.6,b=0.2

6.设二维随机变量(XY)的概率密度为全国2010年4月高等教育自学考试概率论与数理统计(二)试题
P{0>X<1,0<Y<1}=( )
A.全国2010年4月高等教育自学考试概率论与数理统计(二)试题
B.全国2010年4月高等教育自学考试概率论与数理统计(二)试题
C.全国2010年4月高等教育自学考试概率论与数理统计(二)试题
D.1

7.设随机变量X服从参数为的指数分布,则EX)=( )
A. 全国2010年4月高等教育自学考试概率论与数理统计(二)试题
B.全国2010年4月高等教育自学考试概率论与数理统计(二)试题
C.2
D.4

8.设随机变量XY相互独立,且X~N(0,9),Y~N(0,1),令Z=X-2Y,则DZ)=( )
A.5
B.7
C.11
D.13

9.设(XY)为二维随机变量,且DX)>0,DY)>0,则下列等式成立的是( )
A.EXY)=EX)·EY
B.Cov全国2010年4月高等教育自学考试概率论与数理统计(二)试题
C. DX+Y)=DX)+DY
D.Cov(2X,2Y)=2Cov(X,Y)

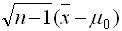
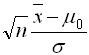
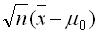
10.设总体X服从正态分布N全国2010年4月高等教育自学考试概率论与数理统计(二)试题),其中全国2010年4月高等教育自学考试概率论与数理统计(二)试题未知,x1,x2,…,x n为来自该总体的样本,全国2010年4月高等教育自学考试概率论与数理统计(二)试题为样本均值,s为样本标准差,欲检验假设全国2010年4月高等教育自学考试概率论与数理统计(二)试题,则检验统计量为( )
A.全国2010年4月高等教育自学考试概率论与数理统计(二)试题
B.全国2010年4月高等教育自学考试概率论与数理统计(二)试题

C. 全国2010年4月高等教育自学考试概率论与数理统计(二)试题

D. 全国2010年4月高等教育自学考试概率论与数理统计(二)试题

网站版权与免责声明
①由于各方面情况的不断调整与变化,本网所提供的相关信息请以权威部门公布的正式信息为准.
②本网转载的文/图等稿件出于非商业性目的,如转载稿涉及版权等问题,请在两周内来电联系.