学历类
|
阳光高考
研 究 生
自学考试
成人高考
专 升 本
中考
会考
外语类|
四 六 级
职称英语
商务英语
公共英语
日语能力
资格类
|
公 务 员
报 关 员
银行从业
司法考试
导 游 证
教师资格
财会类|
会 计 证
经 济 师
会计职称
注册会计
税 务 师
工程类
|
一级建造
二级建造
造 价 师
造 价 员
咨 询 师
监 理 师
医学类|
卫生资格
执业医师
执业药师
执业护士
国际护士
计算机
|
等级考试
软件水平
应用能力
其它类
|
书画等级
美国高考
驾 驶 员
书法等级
少儿英语
报 检 员
单 证 员
出国留学
招生考试网
-
自学考试
-
自考真题
- 正文
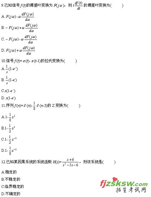
全国2010年4月自考信号与系统试题
来源:fjzsksw.com
2010-5-17 16:18:54 【字体:小 大】
全国2010年4月高等教育自学考试
信号与系统试题
课程代码:02354
分享到:
QQ空间
新浪微博
腾讯微博
人人网
2010年7月全国自学考试行政法与行政诉讼法(一)试题
2011年4月全国自学考试行政法与行政诉讼法(一)试题
2011年自考毛泽东思想、邓小平理论和三个代表重要思想
2011年自考毛泽东思想、邓小平理论和三个代表知识点
全国2010年4月自学考试管理会计(一)试题及答案
全国2010年4月自学考试审计学试题及答案
2010年4月全国自学考试对外经济管理概论试卷及答案
浙江省2010年7月自考城市道路试题及答案
上一个文章:
全国2010年4月自考操作系统试题
下一个文章:
全国2010年4月自考数据通信原理试题
网站版权与免责声明
①由于各方面情况的不断调整与变化,本网所提供的相关信息请以权威部门公布的正式信息为准.
②本网转载的文/图等稿件出于非商业性目的,如转载稿涉及版权等问题,请在两周内来电联系.
热门文章
·
全国2010年4月自学考试管理会计(一)
·
全国2010年4月自学考试审计学试题及答
·
2010年7月自考思想道德修养与法律基础
·
2010年7月自考毛泽东思想、邓论和“三
·
全国2010年7月自考《市场营销学》试题
·
全国2010年7月自考《高等数学(一)》
·
全国2010年7月自考《线性代数》试题及
·
全国2010年7月自考《消费经济学》试题
·
全国2010年7月自考《大学语文》试题及
·
2010年7月自考综合英语(二)试题
·
2010年7月自考高等数学(工专)试题及
·
浙江2010年7月自考马克思主义基本原理
·
2010年7月思想道德修养与法律基础试题
·
浙江省2010年7月自考高速公路试题及答
·
全国2010年7月自考结构力学(二)试题答
最新文章
·
浙江省2012年1月自学考试中学音乐教学
·
浙江省2012年1月自学考试中学体育教学
·
浙江省2012年1月自学考试中学美术教学
·
全国2012年1月自学考试中小学教育管理
·
全国2012年1月自学考试中外教育简史试
·
浙江省2012年1月自学考试政治教学论试
·
浙江省2012年1月自学考试语文教学论试
·
浙江省2012年1月自学考试音乐教育学试
·
浙江省2012年1月自学考试药剂学试题
·
浙江省2012年1月自学考试药剂学(二)试
·
全国2012年1月自学考试药理学(一)试题
·
浙江省2012年1月自学考试药事管理学及
·
浙江2012年1月自学考试药物化学试题
·
2012年1月浙江省自学考试药用植物学试
·
全国2012年1月自学考试医学心理学试卷
推荐文章
·
2011年4月全国自学考试马克思主义基本
·
2011年4月全国自学考试政治经济学(财)
·
2011年1月全国自考大学语文部分试题答
·
2011年1月全国自考马克思主义哲学原理
·
2011年1月全国自考企业管理咨询部分试
·
2011年1月全国自考西方政治制度部分试
·
2011年1月全国自考中国文化概论试题答
·
2010年7月自考思想道德修养与法律基础
·
2010年7月自考毛泽东思想、邓论和“三
·
2008年10月自考试题泄露答案准确度极高
·
2008年10月自考法律专业试题答案泄露