2014肇庆一模数学考试已经结束。本次考试是肇庆市对高三考生一次重要的诊断性摸底考试,旨在了解学生目前所具有的实际水平。
本次考试采取“3+文综/理综”的方式,与高考相同。是2014年高考前非常重要的一次模拟考试,它结合了2014年高考大纲的最新规定的内容与要求,请广大考生引起重视。
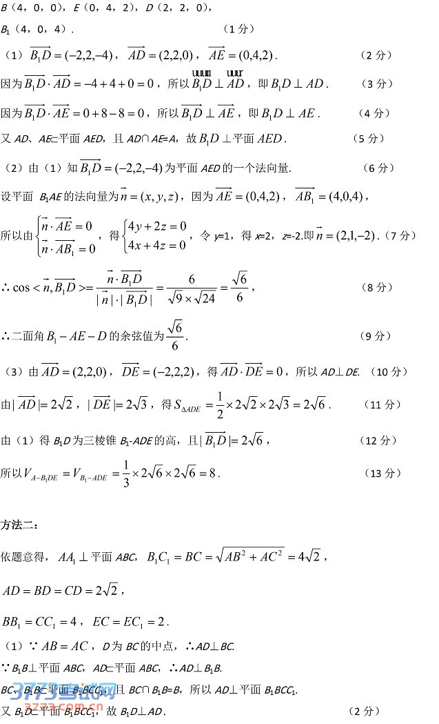
推荐阅读:2014年肇庆一模试题及答案汇总

2014肇庆一模数学考试已经结束。本次考试是肇庆市对高三考生一次重要的诊断性摸底考试,旨在了解学生目前所具有的实际水平。
本次考试采取“3+文综/理综”的方式,与高考相同。是2014年高考前非常重要的一次模拟考试,它结合了2014年高考大纲的最新规定的内容与要求,请广大考生引起重视。
推荐阅读:2014年肇庆一模试题及答案汇总

2014肇庆一模数学考试已经结束。本次考试是肇庆市对高三考生一次重要的诊断性摸底考试,旨在了解学生目前所具有的实际水平。
本次考试采取“3+文综/理综”的方式,与高考相同。是2014年高考前非常重要的一次模拟考试,它结合了2014年高考大纲的最新规定的内容与要求,请广大考生引起重视。
推荐阅读:2014年肇庆一模试题及答案汇总

2014肇庆一模数学考试已经结束。本次考试是肇庆市对高三考生一次重要的诊断性摸底考试,旨在了解学生目前所具有的实际水平。
本次考试采取“3+文综/理综”的方式,与高考相同。是2014年高考前非常重要的一次模拟考试,它结合了2014年高考大纲的最新规定的内容与要求,请广大考生引起重视。
推荐阅读:2014年肇庆一模试题及答案汇总
