招生考试网
学历| 高考 美术高考 考研 自考 成考 专升本 中考 会考 外语| 四六级 职称英语 商务英语 公共英语 日语能力 翻译资格 JTEST
资格| 公务员 报关员 银行从业 司法 导游 教师资格 报关 财会| 会计证 经济师 会计职称 注册会计 税务师 资产评估 审计师
工程| 一建 二建 造价师 造价员 咨询师 监理师 安全师 医学| 卫生资格 执业医师 执业药师 执业护士 | 教案 论文 文档
IT类| 计算机等级 计算机软考 职称计算机 高校计算机 推荐-国家公务员 事业单位招聘 军校国防生 自主招生 艺术特长生 招飞
 3773考试网 - 公务员考试 - 事业单位招聘 - 湖南 - 正文

2017湖南长沙县城乡规划建设局招聘名单公示

来源:3773考试网 2017-8-15 12:00:09


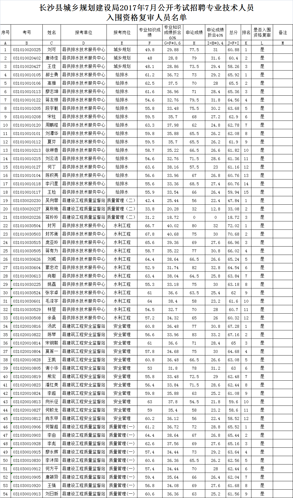
根据长沙县人力资源和社会保障局、长沙县城乡规划建设局《2017年7月公开考试招聘专业技术人员简章》(长县人社招〔2017〕6号)的要求,经笔试查询后,现对笔试成绩排名开放查询,并将入围资格复审人员名单予以公示。

原标题:长沙县城乡规划建设局2017年7月公开考试招聘专业技术人员入围资格复审人员名单公示

点击查看>>>

长沙县城乡规划建设局2017年7月公开考试招聘专业技术人员入围资格复审人员名单



  • 上一个文章:
  • 网站版权与免责声明
    ①由于各方面情况的不断调整与变化,本网所提供的相关信息请以权威部门公布的正式信息为准.
    ②本网转载的文/图等稿件出于非商业性目的,如转载稿涉及版权及个人隐私等问题,请在两周内邮件fjksw@163.com联系.
    全站专题
    · 英语四六级查分  · 甘肃省教育考试院  · 吉林省教育考试院  · 湖北省教育考试院  · 安徽招生考试网  · 河南招生考试信息网  · 招考资讯网  · 浙江省教育考试网  · 湖北招生信息网  · 重庆招考信息网  · 广东考试服务网  · 上海教育考试院  · 湖南省教育考试院  · 广西招生考试网  · 云南招生考试院  · 黑龙江省招生考试院  · 中考志愿填报  · 中考分数线  · 中考录取查询  · 中考查分网  · 中考作文网  · 中考试题答案网  · 高考零分作文  · 高考成绩查询2017  · 高考试题及答案  · 公安警察院校招生  · 西藏教育考试院  · 青海招考信息网  · 云南省招考频道  · 四川省教育考试院  · 陕西招生考试信息网  · 新疆招生网  · 广东省教育考试院  · 湖南招生考试信息港  · 重庆市教育考试院  · 湖北教育考试网  · 江西省教育考试院  · 江苏省教育考试院  · 吉林省教育信息网  · 黑龙江招生考试信息港  · 山西招生考试网  · 天津市教育招生考试院  · 北京教育考试院  · 辽宁招生考试之窗  · 内蒙古招生考试信息网  · 河北省教育考试院  · 山东省教育招生考试院  · 广西招生考试院  · 海南省考试局  · 河南省招生办公室  · 贵州省招生考试院  · 宁夏教育考试院  · 浙江教育考试院  · 上海招考热线  · 福建省教育考试院  · 安徽省教育招生考试院  · 成绩查询、录取查询、网上报名系统  · 香港高校内地招生  · 空军招飞  · 自主招生保送生小语种  · 中国大学排行榜  · 高考满分作文|高考作文  · 高考志愿填报指导、平行志愿  · 高水平运动员体育特长生招生  · 高考报名  · 艺术特长生  · 空乘招生民航招飞  · 高考志愿填报  · 军校招生网_国防生招生_军校名单  · 单招


    | 关于我们 | 联系我们 | 版权申明 | 网站导航 | 手机版
    琼ICP备12003406号