首页
高考
美术高考
成人高考
考研
自考
中考
会考
专升本
高校
公务员
导游考试
更多
自主招生
|
保送生
|
艺术特长生
|
高水平运动员
|
空乘民航招飞
|
军校国防生
|
空军招飞
|
高考作文
|
大学排行榜
|
中考分数线
|
中考查分
3773考试网
-
高考
-
高考模拟题
-
高考数学
- 正文
北京
上海
广东
山东
江苏
浙江
湖北
四川
天津
陕西
湖南
福建
重庆
安徽
辽宁
江西
海南
宁夏
吉林
山西
广西
云南
新疆
黑龙江
青海
甘肃
西藏
河北
贵州
河南
内蒙古
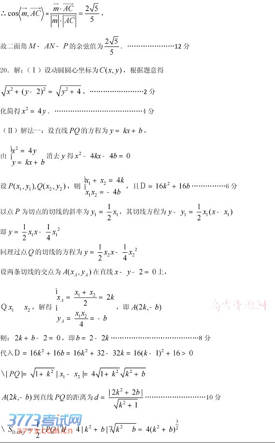
2014石家庄质检二理科数学试题及答案
来源:2exam.com
2014-3-10 20:00:37
上一页
1
2
3
4
下一页
您可能喜欢的文章
2014石家庄质检二数学文科试题及答案
2014石家庄质检二语文试题及答案
2014唐山一模语文试题及答案
2014梅州一模理综试题及答案(物理化学生物)
2014梅州一模语文试题及答案
2014梅州高三一模数学文科试题及答案
2014梅州一模数学理科试题及答案
2014汕头一模数学理科试题及答案
2014汕头高三一模语文试题及答案
2014汕头一模数学文科试题及答案
上一个文章:
2014石家庄质检二数学文科试题及答案
网站版权与免责声明
①由于各方面情况的不断调整与变化,本网所提供的相关信息请以权威部门公布的正式信息为准.
②本网转载的文/图等稿件出于非商业性目的,如转载稿涉及版权及个人隐私等问题,请在两周内邮件fjksw@163.com联系.
最新文章
·
2014石家庄质检二理科数学试题及答案
·
2014石家庄质检二数学文科试题及答案
·
2014梅州高三一模数学文科试题及答案
·
2014梅州一模数学理科试题及答案
·
2014汕头一模数学理科试题及答案
·
2014汕头一模数学文科试题及答案
·
2014深圳一模理科数学试题及答案
·
2014武汉二月调考数学理科答案评分标准
·
2014武汉高三二月调考数学文科答案评分
·
2014龙岩高三质检数学文科试题及答案
·
2014龙岩高三质检数学理科试题及答案
·
2014届湖北重点中学高三2月联考数学理试
·
安庆一中安师大附中2014届高三1月联考数
·
安庆一中安师大附中2014届高三1月联考数
·
河北冀州中学2014高三数学文试题及答案
推荐文章
·
2014武汉二月调考数学理科答案评分标准
·
2014武汉高三二月调考数学文科答案评分
·
2014合肥一模数学理科答案及评分标准
·
2014合肥一模数学文科答案及评分标准
·
2013北京海淀二模数学文试题及答案
·
2013扬州泰州南通连云港淮安三模数学试
·
2013年揭阳市二模数学文科试题及答案(完
·
揭阳市2013年二模数学理科试题及答案(完
·
2013石家庄市一模数学理科试题答案发布
·
2013合肥二模数学答案及评分标准
·
2013年安庆市二模数学理科答案发布
·
2013郑州高三二模理科数学试卷答案
·
2013成都二诊数学理科试题及答案
·
2011四川成都三诊数学文科模拟试题及答
·
2011四川成都三诊数学理科模拟试题及答
|
关于我们
|
联系我们
|
版权申明
|
网站导航
|
琼ICP备12003406号