首页
高考
美术高考
成人高考
考研
自考
中考
会考
专升本
高校
公务员
导游考试
更多
自主招生
|
保送生
|
艺术特长生
|
高水平运动员
|
空乘民航招飞
|
军校国防生
|
空军招飞
|
高考作文
|
大学排行榜
|
中考分数线
|
中考查分
3773考试网
-
高考
-
高考模拟题
-
高考数学
- 正文
北京
上海
广东
山东
江苏
浙江
湖北
四川
天津
陕西
湖南
福建
重庆
安徽
辽宁
江西
海南
宁夏
吉林
山西
广西
云南
新疆
黑龙江
青海
甘肃
西藏
河北
贵州
河南
内蒙古
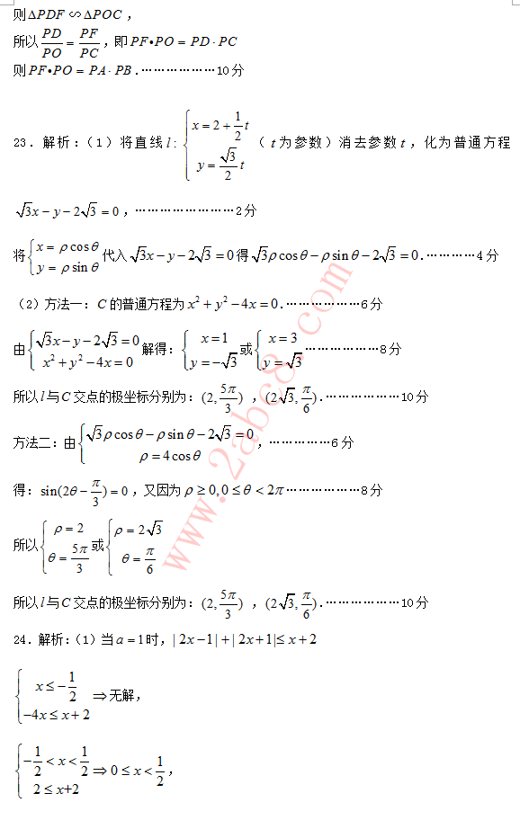
2015石家庄高三二模数学文科试题答案
来源:2exam.com
2015-5-7 21:17:52
上一页
1
2
3
4
下一页
您可能喜欢的文章
2015保定二模语文答案
2015保定二模数学文科试题答案
2015保定二模数学理科试题及答案
2015梅州二模英语试题答案
2015鹰潭二模英语试题及答案
2015连云港三模英语试题及答案
2015北京海淀高三二模语文答案
2015三明高三市质检数学试题答案
2015青岛二模数学文科答案及评分标准
2015青岛二模语文答案及评分标准
上一个文章:
2015保定二模数学文科试题答案
网站版权与免责声明
①由于各方面情况的不断调整与变化,本网所提供的相关信息请以权威部门公布的正式信息为准.
②本网转载的文/图等稿件出于非商业性目的,如转载稿涉及版权及个人隐私等问题,请在两周内邮件fjksw@163.com联系.
最新文章
·
2015石家庄高三二模数学文科试题答案
·
2015保定二模数学文科试题答案
·
2015保定二模数学理科试题及答案
·
2015三明高三市质检数学试题答案
·
2015青岛二模数学文科答案及评分标准
·
2015南京三模数学试题及答案
·
2015徐州三模数学试题及答案
·
2015自贡三诊数学答案与评分标准
·
2015南平高三市质检数学理科试题及答案
·
2015南平高三市质检数学试题答案
·
2015郑州高三三模数学理科答案
·
2015郑州三模数学文科答案
·
2015克拉玛依高三三模数学理科答案
·
2015克拉玛依三模数学答案
·
2015苏锡常镇二模数学试题及答案
推荐文章
·
2015保定二模数学理科试题及答案
·
2015南京三模数学试题及答案
·
2015南平高三市质检数学理科试题及答案
·
2015成都高三三诊数学文科试题及答案
·
2015成都三诊数学试题及答案
·
2015安徽江淮十校高三四月联考数学理试
·
2015上海市杨浦区高三二模数学理试题及
·
2015云南省高三二模数学文试题及答案
·
2015上海浦东新区高三4月质检数学理试题
·
2015云南省高三二模数学理试题及答案
·
2015深圳高三二模数学文试题及答案
·
2015深圳高三二模数学理试题及答案
·
2015上海嘉定区高三二模数学理试题及答
·
2015惠州高三四模数学理试题及答案
·
2015湛江二模数学文试题及答案
|
关于我们
|
联系我们
|
版权申明
|
网站导航
|
琼ICP备12003406号