首页
高考
美术高考
成人高考
考研
自考
中考
会考
专升本
高校
公务员
导游考试
更多
自主招生
|
保送生
|
艺术特长生
|
高水平运动员
|
空乘民航招飞
|
军校国防生
|
空军招飞
|
高考作文
|
大学排行榜
|
中考分数线
|
中考查分
3773考试网
-
高考
-
高考模拟题
-
高考数学
- 正文
北京
上海
广东
山东
江苏
浙江
湖北
四川
天津
陕西
湖南
福建
重庆
安徽
辽宁
江西
海南
宁夏
吉林
山西
广西
云南
新疆
黑龙江
青海
甘肃
西藏
河北
贵州
河南
内蒙古
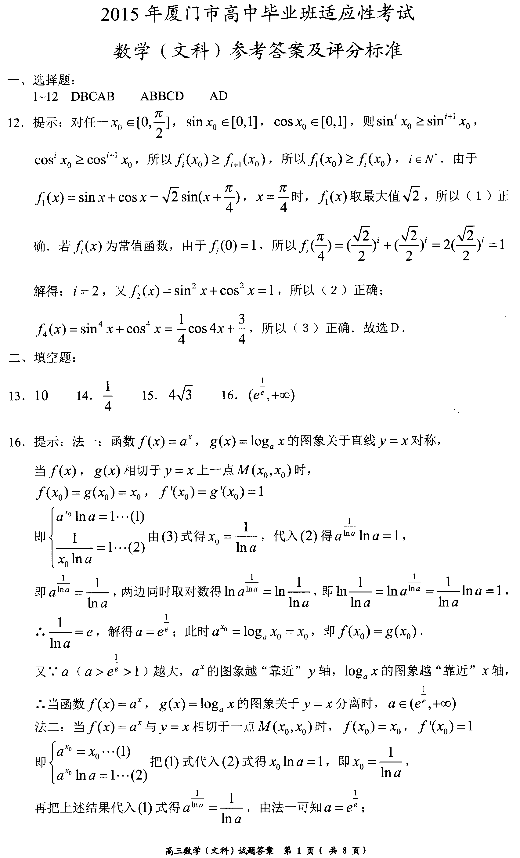
2015年5月厦门高三市质检数学文科试题及答案
来源:3773高考
2015-5-16 9:06:45
上一页
1
2
3
4
5
6
下一页
您可能喜欢的文章
2015年5月厦门高三市质检理科数学试题及答案
2015年5月厦门高三市质检理综生物试题及答案
2015年5月厦门高三市质检语文试题及答案
2015厦门高三市质检文综试题及答案
2015年5月赣州高考适应性考试英语试题及答案
2015贺州三调英语试题及答案
2015年5月福建省质检英语试题及答案
2015湖南省五市十校三模英语试题及答案
2015黑龙江省绥化市重点中学二模英语试题及
2015年5月济宁二模英语试题及答案
上一个文章:
2015年5月厦门高三市质检理科数学试题及答案
网站版权与免责声明
①由于各方面情况的不断调整与变化,本网所提供的相关信息请以权威部门公布的正式信息为准.
②本网转载的文/图等稿件出于非商业性目的,如转载稿涉及版权及个人隐私等问题,请在两周内邮件fjksw@163.com联系.
最新文章
·
2015年5月厦门高三市质检数学文科试题及
·
2015年5月厦门高三市质检理科数学试题及
·
2015雅安高三三诊数学文科试题及答案
·
2015雅安高三三诊数学理科试题及答案
·
2015汕头潮南区5月高考模拟数学文试题及
·
2015汕头潮南区5月高考模拟数学理试题及
·
2015合肥三模数学理试题及答案
·
2015保定二模数学文科答案
·
2015保定高三二模数学理科答案
·
2015石家庄二模数学文科答案及解析
·
2015石家庄二模数学答案及解析
·
2015洛阳三模数学理科试题答案
·
2015洛阳三模数学文科试题答案
·
2015汕头潮阳一模数学试题答案
·
2015武汉高三五月调考数学理科答案
推荐文章
·
2015年5月厦门高三市质检理科数学试题及
·
2015雅安高三三诊数学文科试题及答案
·
2015合肥三模数学理试题及答案
·
2015石家庄二模数学答案及解析
·
2015石家庄二模数学理科试题及答案
·
2015保定二模数学理科试题及答案
·
2015南京三模数学试题及答案
·
2015南平高三市质检数学理科试题及答案
·
2015成都高三三诊数学文科试题及答案
·
2015成都三诊数学试题及答案
·
2015安徽江淮十校高三四月联考数学理试
·
2015上海市杨浦区高三二模数学理试题及
·
2015云南省高三二模数学文试题及答案
·
2015上海浦东新区高三4月质检数学理试题
·
2015云南省高三二模数学理试题及答案
|
关于我们
|
联系我们
|
版权申明
|
网站导航
|
琼ICP备12003406号