3773考试网
 3773考试网 - 高考 - 各省高考 - 吉林高考 - 正文
北京 上海 广东 山东 江苏 浙江 湖北 四川 天津 陕西 湖南 福建 重庆 安徽 辽宁 江西 海南 宁夏 吉林 山西 广西 云南 新疆 黑龙江 青海 甘肃 西藏 河北 贵州 河南 内蒙古

2017吉林高考数学文科试题及答案

来源:3773考试网 2017-6-8 10:04:55

2017吉林高考数学文科试题及答案

2017年全国甲卷(全国II、二卷)文科数学高考真题试卷题目已公布。

备注:2017全国2、II卷(甲卷)文科数学高考试卷适用范围:甘肃、青海、西藏、黑龙江、吉林、辽宁、宁夏、新疆、内蒙古、陕西、重庆、海南(语数英)

2017年全国甲卷(全国II、二卷)文科数学高考真题试卷题目已公布。

2017年全国甲卷(全国II、二卷)文科数学高考真题试卷题目已公布。

2017年全国甲卷(全国II、二卷)文科数学高考真题试卷题目已公布。

2017年全国甲卷(全国II、二卷)文科数学高考真题试卷题目已公布。

2017年全国甲卷(全国II、二卷)文科数学高考真题试卷题目已公布。

2017年吉林省高考文科数学试卷及参考答案发布

17 正确答案及相关解析

17 正确答案及相关解析

18 正确答案及相关解析

18 正确答案及相关解析

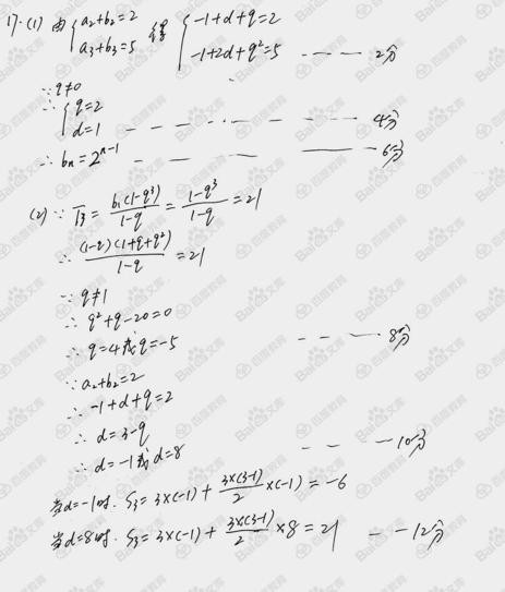
19 正确答案及相关解析

19 正确答案及相关解析

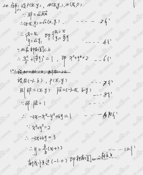
20 正确答案及相关解析

20 正确答案及相关解析

21 正确答案及相关解析

21 正确答案及相关解析

22 正确答案及相关解析

22 正确答案及相关解析

23 正确答案及相关解析

23 正确答案及相关解析



  • 上一个文章:
  • 网站版权与免责声明
    ①由于各方面情况的不断调整与变化,本网所提供的相关信息请以权威部门公布的正式信息为准.
    ②本网转载的文/图等稿件出于非商业性目的,如转载稿涉及版权及个人隐私等问题,请在两周内邮件fjksw@163.com联系.
    全站专题
    · 英语四六级查分  · 甘肃省教育考试院  · 吉林省教育考试院  · 湖北省教育考试院  · 安徽招生考试网  · 河南招生考试信息网  · 招考资讯网  · 浙江省教育考试网  · 湖北招生信息网  · 重庆招考信息网  · 广东考试服务网  · 上海教育考试院  · 湖南省教育考试院  · 广西招生考试网  · 云南招生考试院  · 黑龙江省招生考试院  · 中考志愿填报  · 中考分数线  · 中考录取查询  · 中考查分网  · 中考作文网  · 中考试题答案网  · 高考零分作文  · 高考成绩查询2017  · 高考试题及答案  · 公安警察院校招生  · 西藏教育考试院  · 青海招考信息网  · 云南省招考频道  · 四川省教育考试院  · 陕西招生考试信息网  · 新疆招生网  · 广东省教育考试院  · 湖南招生考试信息港  · 重庆市教育考试院  · 湖北教育考试网  · 江西省教育考试院  · 江苏省教育考试院  · 吉林省教育信息网  · 黑龙江招生考试信息港  · 山西招生考试网  · 天津市教育招生考试院  · 北京教育考试院  · 辽宁招生考试之窗  · 内蒙古招生考试信息网  · 河北省教育考试院  · 山东省教育招生考试院  · 广西招生考试院  · 海南省考试局  · 河南省招生办公室  · 贵州省招生考试院  · 宁夏教育考试院  · 浙江教育考试院  · 上海招考热线  · 福建省教育考试院  · 安徽省教育招生考试院  · 成绩查询、录取查询、网上报名系统  · 香港高校内地招生  · 空军招飞  · 自主招生保送生小语种  · 中国大学排行榜  · 高考满分作文|高考作文  · 高考志愿填报指导、平行志愿  · 高水平运动员体育特长生招生  · 高考报名  · 艺术特长生  · 空乘招生民航招飞  · 高考志愿填报  · 军校招生网_国防生招生_军校名单  · 单招


    | 关于我们 | 联系我们 | 版权申明 | 网站导航 | 手机版
    琼ICP备12003406号