首页
高考
美术高考
成人高考
考研
自考
中考
会考
专升本
高校
公务员
导游考试
更多
自主招生
|
保送生
|
艺术特长生
|
高水平运动员
|
空乘民航招飞
|
军校国防生
|
空军招飞
|
高考作文
|
大学排行榜
|
中考分数线
|
中考查分
3773考试网
-
高考
-
高考模拟题
-
高考数学
- 正文
北京
上海
广东
山东
江苏
浙江
湖北
四川
天津
陕西
湖南
福建
重庆
安徽
辽宁
江西
海南
宁夏
吉林
山西
广西
云南
新疆
黑龙江
青海
甘肃
西藏
河北
贵州
河南
内蒙古
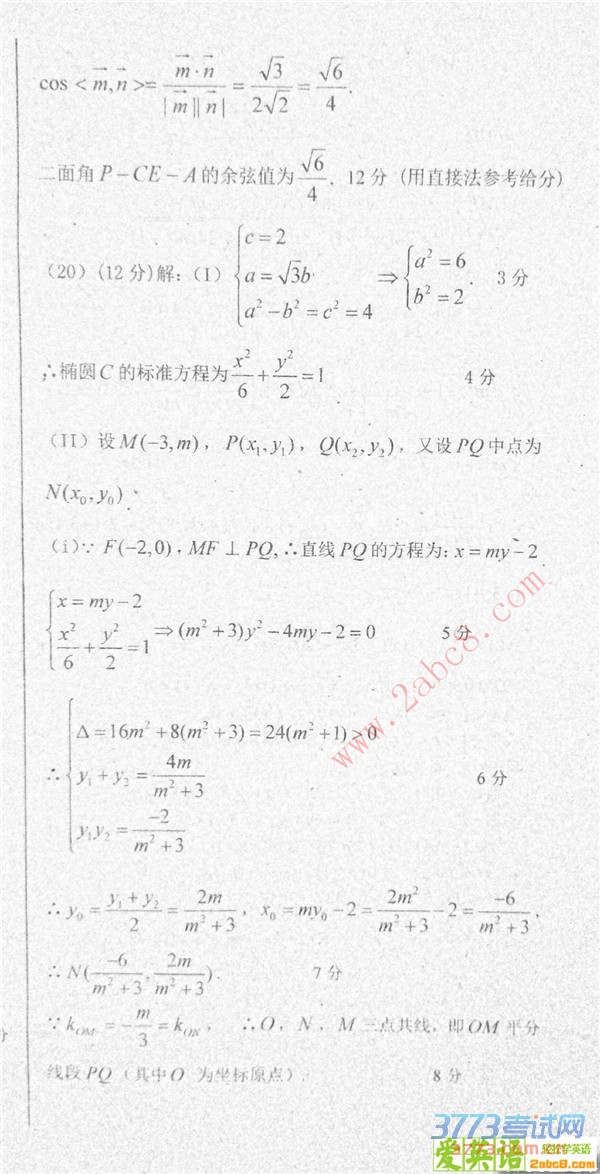
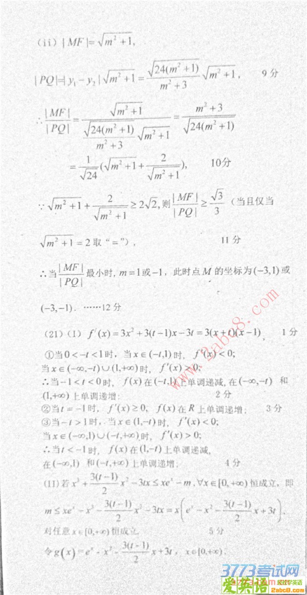
2016梅州一模数学理科答案及评分标准
来源:2exam.com
2016-2-27 10:28:56
上一页
1
2
3
下一页
您可能喜欢的文章
2016梅州一模语文试题及答案解析
2016广东高考二A二B批次合并招生
广东高考改革方案2016年出台
2016广东高考报名人数下降 非户籍考生仅占1
广东省教育考试院就广东高考改革问题答记者
2016广东高考志愿数量变化二本AB线合并
2016广东高考全国卷适应性测试3月5日开考
广东高考二本AB批次合并后 新增3个平行志愿
广东省教育考试院广东高考改革细则作出具体
广东高考英语科听说考试高分技巧
上一个文章:
2016武汉二月调考数学理科答案及评分标准
网站版权与免责声明
①由于各方面情况的不断调整与变化,本网所提供的相关信息请以权威部门公布的正式信息为准.
②本网转载的文/图等稿件出于非商业性目的,如转载稿涉及版权及个人隐私等问题,请在两周内邮件fjksw@163.com联系.
最新文章
·
2016梅州一模数学理科答案及评分标准
·
2016武汉二月调考数学理科答案及评分标
·
2016武汉高三二月调考数学文科答案及评
·
2016漳州八校高三2月联考数学理试题及答
·
2016漳州八校高三2月联考数学文试题及答
·
2016孝感市高三六校联考数学理试题及答
·
2016孝感市高三六校联考数学文试题及答
·
2016江西赣中南五校高三2月联考数学文试
·
2016江西赣中南五校高三2月联考数学理试
·
2016温州市十校联合体高三联考数学文试
·
2016温州市十校联合体高三期初联考数学
·
2016东北三校联考数学理科试题及答案
·
2016东北三校联考数学文科试题及答案
·
2016赣州高三上学期期末数学理试题及答
·
2016赣州高三上学期期末数学文试题及答
推荐文章
·
2016梅州一模数学理科答案及评分标准
·
2016武汉二月调考数学理科答案及评分标
·
2016武汉高三二月调考数学文科答案及评
·
2016东北三校联考数学理科试题及答案
·
2016东北三校联考数学文科试题及答案
·
2016合肥高三一模数学理科答案及评分标
·
2016合肥一模数学文科答案及评分标准发
·
2016宿州一模数学答案发布
·
2016桂林崇左高考一调数学理科试题及答
·
2016桂林崇左一调数学文科试题及答案
·
2016赣中南五校第三次联考数学试题及答
·
2016肇庆二模数学试题及答案评分标准
·
2016佛山一模数学文科试题及答案评分标
·
2016贵阳高三期末数学文科答案及评分建
·
2016贵阳高三第一学期期末数学答案及评
|
关于我们
|
联系我们
|
版权申明
|
网站导航
|
琼ICP备12003406号