招生考试网
学历类| 阳光高考 美术高考 研究生 自考 成人高考 专升本 中考会考 外语类| 四 六 级 职称英语 商务英语 公共英语 日语能力
资格类| 公 务 员 报 关 员 银行从业 司法考试 导 游 证 教师资格 财会类| 会 计 证 经 济 师 会计职称 注册会计 税 务 师
工程类| 一级建造 二级建造 造 价 师 造 价 员 咨 询 师 监 理 师 医学类| 卫生资格 执业医师 执业药师 执业护士 国际护士
计算机| 等级考试 软件水平 应用能力 其它类| 论文 驾照考试 书法等级 少儿英语 报检员 单证员 教案 专题 考试资讯 文档
 3773考试网 - 中考网 - 各省中考 - 浙江中考 - 宁波中考 - 正文

余姚市教育局2013余姚中考中招工作意见

来源:余姚市教育局 2013-4-15 13:16:32
各高中、乡镇(街道)教辅室、初中、高风中学、实验学校、姚北实验学校:
根据宁波市教育局《关于做好初中毕业生学业考试和高中段学校招生工作的通知》、《宁波市教育局关于做好2013年高中段学校招生考试及招生工作的实施意见》的精神,为做好余姚市2013年高中段招生考试及招生工作,特提出以下工作意见:
一、指导思想
2013年我市初中毕业考试与高中招生工作,要有利于全面贯彻党的教育方针,促进学生全面发展;有利于规范初中办学行为、减轻初中学生的课业负担,缓解升学竞争;有利于深化课程改革,有利于基础教育均衡发展,加快高中教育的普及;有利于普通高中特色化多样化发展,有利于社会稳定,努力办好人民满意的高中段教育。
二、报名
具有浙江省户籍和港、澳、台籍,在本市初中就读并注册电子学籍的应届初中毕(结)业生、或具有本市户籍年龄不超过18周岁(1995年9月1日后出生)未被高中段学校录取过的往届初中毕(结)业生及具同等学力者,均可报考。
初中阶段在余姚市外借读的应届初中毕业生,要求回本市升学的,可以回户籍所在地报名点报考。
允许具有我市初中学籍的外省户籍初三毕业班学生报名参加2013年中考,其中,要求报考普通高中的,必须符合以下条件并提供相关资料:(1)在本市就读且具有我市3年连续初中阶段学习经历和学籍。(2)父(母)(或法定监护人)在余姚有合法稳定住所(含租赁,报名时提供居住证或临时居住证)、合法稳定的职业(报名时提供父母一方或法定监护人的劳动合同原件与复印件;经商、办企业的提供当年度已经通过企业年检或个体工商户验照的营业执照副本原件和复印件)。(3)父母至少一方或法定监护人近3年内参加了一年及以上的社会保险(报名时提供社会保险证明原件与复印件)。(4)提供学生家庭户口本原件和复印件或能证明是学生法定监护人的相关材料原件和复印件。上述提供的材料由报名学校负责审核,原件审核后当场归还。
(二)考生于3月29日—4月1日向所在学校报名(往届生向原毕业学校报名),填写《余姚市2013年高中段招生考试报名表》,交近期一寸免冠正面照片两张,并根据省财政厅、物价局的规定,交报考费用。
(三)全市各初中为报名点,负责对本施教区考生的资格审查和材料汇总,并向市中招办集体办理报名手续。具体为:
1.在本市就读的浙江省户籍、港澳台籍考生(包括往届初中毕结业的考生,下同),在原毕业学校(报名点)报名。
2.在宁波市内其他县(市、区)借读、户籍在本市的考生,若要回本市参加中考,须持借读学校的学籍证明,并盖有就读学校所在县(市、区)教育局的审核章,随带户口簿(或户籍证明)到户籍所在地的报名点报名。这类考生也可直接参加就读学校所在地组织的升学考试,如要升本市的高中,待中考成绩确定后,立即凭中考成绩证明到市中招办填报升学志愿。
3.本市户籍在宁波市外就读、要求回本市升学的考生,必须回本市报名并参加本市组织的体育和文化课考试。报名办法同第二条。
4.在本市外来务工人员子女学校就读并要求在本市升学的考生,由就读学校组织向学校所在地的报名点集体报名(其中:梨洲街道定为舜江中学;兰江街道定为梨洲中学;凤山街道定为世南中学;阳明街道定为舜水中学)。
(四)2013年继续实行初中毕业考试和高中段招生考试两考合一,各校不得限制符合报考条件的应届毕(结)业生参加考试报名。
(五)各报名点须在4月2日下班前向市中招办集体办理报名手续。报名通过网络上报。报考费由报名点开具转帐支票,于4月12日前交市教育局计划财务科。
三、考试
(一)考试内容
2013年初中毕业生学业考试根据省学科《课程标准》和《关于调整初中部分学科内容及要求的意见》(浙教办教研【2010】160号)要求及宁波市教育局教研室编制的《宁波市2013年初中毕业生学业考试说明》为学业考试命题和试卷质量评价的依据,难度系数为0.7左右(命题的范围、难度系数、命题形式届时详见《宁波市2013年初中毕业生学业考试说明》)。
(二)考试时间:
   日  期
   上   午
下          午
6月14日
(星期五)
  语   文
(8:30—10:30)
社会政治
(1:30—3:00)
英语(含听力)
(3:40—5:20)
6月15日
(星期六)
  数   学
(8:30—10:30)
          科    学
        (2:00—4:00)
 
(二)考试科目及形式:2013年学业考试的科目不变。各科的分值分别为:语文120分、数学130分、英语110分(含听力)、科学160分、社会60分、体育30分,总分值为610分。
2014年起,学业考试的分值将调整为语文、数学各150分、英语120分(含听力)、科学180分、社会60分、体育40分,总分值为700分。
在所有文化课考试科目中,除社会政治为开卷考外,其余均为闭卷考。社会政治考试时允许考生带教材和资料进入试场,但在试场内,考生之间不得相互传、借教材和资料。考生在所有学科考试中均不得使用计算器。
(三)试场设置
各考点要选定光线充足、通风良好、桌椅平整的教室作为试场,每个试场安排桌椅30套(单坐),考生30人,不足30人的尾数考生也编一个试场。考生的准考证号码为9位数,由中招办用计算机统一编排。
市中招办聘请工作负责、政策性强、能坚持原则的同志担任考点负责人;各考点聘请工作细致、责任心强的同志担任监考人员和考务工作人员。每个试场安排两名监考人员。有子女在本考点考试的同志不得担任本考点的监考人员;当年初三任课教师不得参与本校考生的考务工作。
要加强考点的安全保卫工作,考点及部分分考点要设置试卷保密室。
四、阅卷
每天考试结束后,各考点要立即将试卷送达市中招办,由市中招办当天统一送往宁波市考试中心,由考试中心集体组织网上阅卷。阅卷结束结出考分后,中招办将考试成绩通过学校告知考生本人(发给本人的中考成绩卡),对本人考分持异议的考生,可按查分办法申请查分,查分只查试题有无漏批和积分有无差错。
五、填报志愿
2013年本市所有普职高仍然实行不分学区面向全市招生的办法。考生志愿填报分二次进行:第一次报名时填报余姚中学志愿;第二次待中考成绩公布后填报普职高志愿,届时考生可以根据本人的成绩和意愿,填报其他普职高,每批可填报三个普高志愿或六个职高志愿(一所学校的一个专业作为一个志愿)。填报市外学校志愿的考生(含市外职业中专、职业高中、中专技校等)不再填报本市学校志愿,但填报市内外“五年一贯制”、“3+2”、“3+3”志愿的考生仍可兼报本市普职高志愿。同时填报“五年一贯制”和普高志愿、“五年一贯制”先行录取的,普高不再录取;同时填报“3+2”、“3+3”和普高志愿、普高先行录取的,“3+2”、“3+3”不再录取。已被提前招生学校录取的学生、报考自主招生且被学校或专业录取的学生,不再填报志愿;填报市外学校志愿的考生(含市外职业中专、职业高中、中专技校等)及报考市内职校“五年一贯制”、“3+2”、市职技校学前教育专业及市内技校的考生,报考志愿一律填报在高招办的志愿表内。
六、录取
(一)录取原则
各类招生学校根据招生计划,按考生所填报志愿的顺序,以德、智、体全面衡量,语文、数学、自然、英语、社会政治、体育六科总分从高分到低分择优录取。被授予市级及以上三好生、优秀学生干部的考生在同等条件优先录取。普通高中在同批次志愿录取时,录取学校要录取第二、第三志愿考生时,必须在考生第二总分中分别减去3分、6分予以投档。各类学校必须严格按市政府下达的事业计划招足新生,不得以种种借口拒绝上线考生。
(二)录取顺序
学业考试后高中段招生的录取顺序为:余姚中学——姚中书院、市四中、高风中学全部,市三中、五中、七中、八中部分自主招生和职业高中部分自主招生——其他普职高、中专、技校。
(三)录取办法
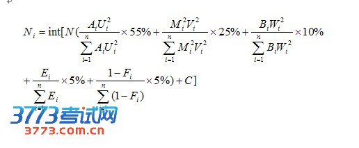
1.除自主招生之外的余姚中学所有招生计划生在其他各类招生学校录取前,一次性录取完毕。余姚中学招生按分配方案全部切块到各初中,名额分配的计算公式为:
 

    说明:Ni指第i初中当年分配名额数;
          N指全市分配名额总数(余姚中学自主招生后剩余的计划数与被录取在宁波市其他9所首批省一级重点普高中的余姚初三毕业生之和);
          Vi指第i初中应届初中毕业生人数;
          Mi指第i初中教育教学工作等级折合分;
          Ui指第i初中毕业生学业考试成绩合格率;
          Ai指第i初中毕业生学业考试成绩合格人数;
          Bi指第i初中毕业生学业考试成绩优秀人数;
          Wi指第i初中毕业生学业考试成绩的优秀率;
          Ei指第i初中上年升学率;
          Fi指第i初中毕业生中学业考试成绩为全市后20%的人数比例;
          C 为修正值 0 ≤ C < 1,使全市分配名额四舍五入后的总和为N。
    决定一所初中分配名额的计算方法分五方面:
    第一、决定于该校应届初中毕业生学业考试成绩合格人数和合格率,权重为55%。
    第二、决定于该校应届初中毕业生人数、考核等级折合分,权重为25%。
    第三、决定于该校应届初中毕业生学业考试成绩优秀人数和优秀率,权重为10%。
    第四、决定于该校上一年应届初中毕业生升入高中段学校的人数比例,权重为5%。
    第五、决定于该校应届初中毕业生中学业考试成绩为全市后20%的人数比例,权重为5%。
2.姚中书院、市四中、高风中学的招生、三中、五中、七中和八中的部分自主招生均采用不报志愿、考生与学校双向选择、学校提前录取的办法,即考生可在规定时间内,凭中考分数卡直接与学校联系录取事宜,由学校确定是否录取。招生学校必须按招生办法进行录取,直至录满计划数为止。部分职业高中的自主招生,考生可待中考结束后凭准考证直接到有关学校报名,由学校和考生双向选择,提前录取。考生一经被录取,不再填报其他学校志愿或已填志愿作自动放弃论。
3.其他普高和职高的录取:根据考生的志愿,普、职高分别投档,由市中招办划定最低录取分数线,择优录取,一次性取足招生计划数为止。
4.允许普通高中学校招收体育特长生。每所普通高中学校招收的体育特长生人数不超过6人,所招收的特长生除文化课成绩必须达到规定的要求外,同时必须符合以下条件:一是初中三年中曾经获得过余姚市级及以上教育行政部门组织的各类体育竞赛个人项目前三名或团体单项项目前六名(主力队员);二是获奖项目必须是招生学校体育集训队当年组队所缺的项目。
5.幼师、中专、技校的录取工作由市高招办具体实施。
6.思想品德不合格者或中学生体质健康标准不合格者(身体残疾等特殊情况除外)或未参加体育考试者,高中段学校原则上不予录取。被余姚中学、市二中、市三中、市五中、市七中和市八中自主录取的考生其综合素质评价必须达到1A3P及以上。
7.民办学校(四中、高风中学、姚中书院)原则上不得招收低于本市公办普通高中最低分数线15分的考生。
8.高中段招生中有关加分的规定另行发文,各类加分对象必须填写《余姚市2013年中招加分考生登记表》,并提供原始证件和复印件,报市中招办审定核准。
七、档案材料
高中段招生档案主要包括:毕业生登记表、体格检查表、中学生体质健康标准登记表、学生综合素质测评情况登记表等。考生档案由各初中负责组织填写、整理。考生情况登记表由各初中填写后,连同体格检查表集体上交市中招办,其他档案材料由各初中保存备用。
八、其他事项
(一)初中毕业生综合素质评价
对初中生进行综合素质评价,是检测初中生基础性发展目标达成状况的重要手段。综合素质评价结果是高中段招生录取的重要依据(综合素质评价具体办法见附件一)。
毕业班学生的综合素质评价工作必须在5月17日前完成,5月17日下班前把结果导入《浙江省中小学学籍管理系统》的“中小学综合素质登记栏”。凡被定为A等的项目,其印证材料必须在5月24日送市教育局中招办审核(上午审核铁路杭甬线以南学校送审材料,下午审核铁路以北学校送审材料)。
(二)2013年余姚中学、市二中、市二职校(农口专业)实行部分提前自主招生,市二中自主招生共4个班级192人。余姚中学和市二中的自主招生将于5月下旬同时进行(具体办法另行发文),市二职校的提前自主招生办法另行制定。市五中和市七中自主招生名额各96人,市三中和市八中自主招生名额各48人,上述四校的自主招生在中考分数出来后,按考生意愿,不填志愿直接提前录取。
(三)2013年的高中段招生继续实行部分优惠加分的政策,(具体办法另行发文)。
(四)2013年市中招办继续实行对各校学业考试成绩处全市后20%的学生人数和比例进行统计(以初三年级事业报表为准,无故不参加学业考试者视作后20%内的学生),统计结果作为各初中学校教学质量评价和重点中学招生名额分配的重要依据之一。
九、组织领导
市教育局成立高中段招生办公室,具体负责全市高中段招生工作(办公室组成人员通知另发)。阅卷工作由市教育局教研室负责。
各考点应建立相应的中招工作领导小组,由当地镇乡(街道)有关领导任组长,考点主考任副组长,副主考及有关人员为成员。
各初中负责本校考生的报名、体检、考生资格审查等工作。乡镇初中还要配合考点做好试场安排、考务组织以及录取过程中的有关工作。
十、注意事项
(一)高中段招生工作政策性强,社会涉及面广,关系到千家万户。因此,各高中学校和初中一定要依靠当地党委政府、依靠社会各方面力量和广大教职员工的支持和配合。要加强招生工作的宣传力度,妥善处理好群众的来信来访,认真细致地做好各项工作。特别是要把今年中招政策中调整的情况向学生和家长讲清讲透。
(二)高中段招生工作环节多、任务重、难度大、准确性和要求高。各考点要层层落实、严格把关、环环紧扣,保证顺利完成中招考试任务。各初中要把考生的利益放在第一位,正确引导,致力于提高全体学生的整体素质,使每位考生找到自己合适的学校。
(三)高中段招生工作复杂、细致,各有关学校要进一步提高招生工作的透明度,自觉接受社会和广大群众的监督;各招生学校要正确把握宣传力度,不得诱导考生,不得到初中学校设摊招生,坚决杜绝乱招生现象。
(四)各校要坚持把减轻学生过重的学业负担工作落到实处,要面向全体学生;不得违反规定提前结束课程;不得在招生考试前重新分班;不得搞名目繁多的模拟考试;不得无视学生身心健康进行加班加点。
附件(一)余姚市2013年初中毕业生综合素质测评方案
(二)给全省初三学生家长的信

  • 上一个文章:
  • 推荐文章
     


    | 关于我们 | 联系我们 | 版权申明 | 网站导航 |
    琼ICP备12003406号