首页
高考
美术高考
成人高考
考研
自考
中考
会考
专升本
高校
公务员
导游考试
更多
自主招生
|
保送生
|
艺术特长生
|
高水平运动员
|
空乘民航招飞
|
军校国防生
|
空军招飞
|
高考作文
|
大学排行榜
|
中考分数线
|
中考查分
3773考试网
-
高考
-
高考模拟题
-
高考数学
- 正文
北京
上海
广东
山东
江苏
浙江
湖北
四川
天津
陕西
湖南
福建
重庆
安徽
辽宁
江西
海南
宁夏
吉林
山西
广西
云南
新疆
黑龙江
青海
甘肃
西藏
河北
贵州
河南
内蒙古
2015咸阳高三三模数学答案
来源:2exam.com
2015-4-28 10:19:14
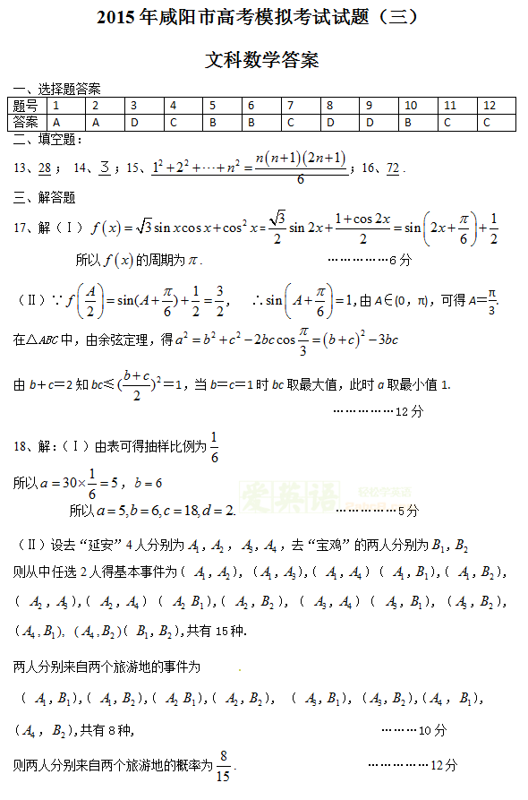
2015年咸阳市
高考
模拟考试试题(三)
文科
数学答案
一、选择题答案
题号 1 2 3 4 5 6 7 8 9 10 11 12
答案 A A D C B B C D D B C C
1
2
下一页
您可能喜欢的文章
2015成都三诊语文试题及答案
2015成都三诊数学试题
2015新余二模英语试题及答案
2015张掖高三四诊英语试题及答案
2015山东高密市高三模拟英语试题及答案
2015邯郸二模数学理科试题答案
2015邯郸高三二模数学答案
2015汕头二模理综生物试题及答案
2015杭州二模英语试题及答案
2015邯郸二模文综答案及评分标准
上一个文章:
2015成都三诊数学试题
网站版权与免责声明
①由于各方面情况的不断调整与变化,本网所提供的相关信息请以权威部门公布的正式信息为准.
②本网转载的文/图等稿件出于非商业性目的,如转载稿涉及版权及个人隐私等问题,请在两周内邮件fjksw@163.com联系.
最新文章
·
2015咸阳高三三模数学答案
·
2015成都三诊数学试题
·
2015邯郸二模数学理科试题答案
·
2015邯郸高三二模数学答案
·
2015深圳第二次调研考试数学试题及答案
·
2015张掖市高三四诊数学理试题及答案
·
2015天津和平区二模数学理试题及答案
·
2015天津和平区二模数学文试题及答案
·
2015汕头高三二模数学试题
·
2015运城二模理科数学试题及答案
·
2015运城市高三二模数学试题及答案
·
2015湛江高三二模数学文科试题及答案
·
2015郑州二模数学文科试题及答案
·
2015郑州高三二模数学理科试题及答案
·
2015安徽省江淮十校高三四月联考数学文
推荐文章
·
2015安徽江淮十校高三四月联考数学理试
·
2015上海市杨浦区高三二模数学理试题及
·
2015云南省高三二模数学文试题及答案
·
2015上海浦东新区高三4月质检数学理试题
·
2015云南省高三二模数学理试题及答案
·
2015深圳高三二模数学文试题及答案
·
2015深圳高三二模数学理试题及答案
·
2015上海嘉定区高三二模数学理试题及答
·
2015惠州高三四模数学理试题及答案
·
2015湛江二模数学文试题及答案
·
2015郑州高三二模数学文试题及答案
·
2015北京西城区高三一模数学理试题及答
·
2015东北三省四市联合体二模数学理试题
·
2015东北三省四市联合体二模数学文试题
·
2015渭南高三一模数学理试题及答案
|
关于我们
|
联系我们
|
版权申明
|
网站导航
|
琼ICP备12003406号